某展会,AB双方根据人数分配席位:

衡量公平的数量指标:
p1/n1=p2/n2。此时对AB均公平。
p1/n1>p2/n2。此时对A不公平,因为对A放来说,每个席位相对应的人数比率更大。
定义:
p1/n1-p2/n2 = 对A的绝对不公平度
问题:
/*情况1*/
p1=150, n1=10, p1 /n1=15
p2=100, n2=10, p2 /n2=10
/*情况2*/
p1=1050, n1=10, p1 /n1=105
p2=1000, n2=10, p2 /n2=100
两者对A的不公平度相同,但是很明显后者对A的不公平成都已经大大降低。
定义:

说明:由定义知对某方的不公平值越小,某方在席位分配中越有利,因此可以用使不公平值尽量小的分配方案来减少分配中的不公平
使用不公平值的大小确定分配方案:
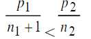
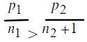
设A, B已分别有n1 , n2 席,若增加1席,问应分给A, 还是B 不妨设分配开始时 p1 /n1> p2 /n2 ,即对A不公平。
分情况讨论:
1.![]()
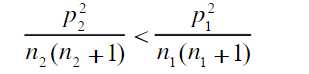
2.
,说明此以一席给A后,对B不公平,则计算对B的不公平度。rB(n1+1,n2).
3.
,说明此一席给B后,对A不公平,不公平值为,rA(n1,n2+1).
4.p1/n1<p2/n2+1,这种情况不可能出现。
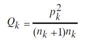
上面的分配方法在第1和第3种情况可以确定新席位的分配,但在第2种情况时不好确定新席位的分配。用不公平值的公式来决定席位的分配,对于新的席位分配,若有
则应该增加给A一席,否则则应该增加给B一席。
引入公式:
于是知道增加的席位分配可以由Qk的最大值决定,且它可以推广到多个组的一般情况。用Qk的最大值决定席位分配的方法称为Q值法。
原文:http://www.cnblogs.com/MrSaver/p/6951641.html