《Adaboost算法的原理与推导》一文为他人所写,原文链接: http://blog.csdn.net/v_july_v/article/details/40718799
另外此文大部分是摘录李航的《统计学笔记》一书,原书下载链接:http://vdisk.weibo.com/s/z4UjMcqGpoNTw?from=page_100505_profile&wvr=6
在根据文中推导是发现有计算错误以及省略的步骤,在下文将会进行说明。
--------------------------------------------------------------------------------------原文内容--------------------------------------------------------------------------------------
Adaboost 算法的原理与推导
0 引言
一直想写Adaboost来着,但迟迟未能动笔。其算法思想虽然简单:听取多人意见,最后综合决策,但一般书上对其算法的流程描述实在是过于晦涩。昨日11月1日下午,在我组织的机器学习班 第8次课上讲决策树与Adaboost,其中,Adaboost讲得酣畅淋漓,讲完后,我知道,可以写本篇博客了。
无心啰嗦,本文结合机器学习班决策树与Adaboost 的PPT,跟邹讲Adaboost指数损失函数推导的PPT(第85~第98页)、以及李航的《统计学习方法》等参考资料写就,可以定义为一篇课程笔记、读书笔记或学习心得,有何问题或意见,欢迎于本文评论下随时不吝指出,thanks。
1 Adaboost的原理
1.1 Adaboost是什么
AdaBoost,是英文"Adaptive Boosting"(自适应增强)的缩写,由Yoav Freund和Robert Schapire在1995年提出。它的自适应在于:前一个基本分类器分错的样本会得到加强,加权后的全体样本再次被用来训练下一个基本分类器。同时,在每一轮中加入一个新的弱分类器,直到达到某个预定的足够小的错误率或达到预先指定的最大迭代次数。
具体说来,整个Adaboost 迭代算法就3步:
1.2 Adaboost算法流程
给定一个训练数据集T={(x1,y1), (x2,y2)…(xN,yN)},其中实例,而实例空间,yi属于标记集合{-1,+1},Adaboost的目的就是从训练数据中学习一系列弱分类器或基本分类器,然后将这些弱分类器组合成一个强分类器。
Adaboost的算法流程如下:

a. 使用具有权值分布Dm的训练数据集学习,得到基本分类器(选取让误差率最低的阈值来设计基本分类器):

b. 计算Gm(x)在训练数据集上的分类误差率

由上述式子可知,Gm(x)在训练数据集上的误差率em就是被Gm(x)误分类样本的权值之和。
c. 计算Gm(x)的系数,am表示Gm(x)在最终分类器中的重要程度(目的:得到基本分类器在最终分类器中所占的权重):

由上述式子可知,em <= 1/2时,am >= 0,且am随着em的减小而增大,意味着分类误差率越小的基本分类器在最终分类器中的作用越大。
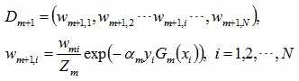
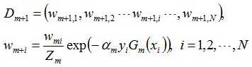
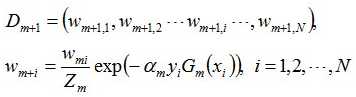
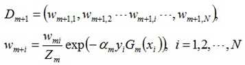
d. 更新训练数据集的权值分布(目的:得到样本的新的权值分布),用于下一轮迭代

使得被基本分类器Gm(x)误分类样本的权值增大,而被正确分类样本的权值减小。就这样,通过这样的方式,AdaBoost方法能“重点关注”或“聚焦于”那些较难分的样本上。
其中,Zm是规范化因子,使得Dm+1成为一个概率分布:


从而得到最终分类器,如下:

1.3 Adaboost的一个例子
下面,给定下列训练样本,请用AdaBoost算法学习一个强分类器。

求解过程:初始化训练数据的权值分布,令每个权值W1i = 1/N = 0.1,其中,N = 10,i = 1,2, ..., 10,然后分别对于m = 1,2,3, ...等值进行迭代。
拿到这10个数据的训练样本后,根据 X 和 Y 的对应关系,要把这10个数据分为两类,一类是“1”,一类是“-1”,根据数据的特点发现:“0 1 2”这3个数据对应的类是“1”,“3 4 5”这3个数据对应的类是“-1”,“6 7 8”这3个数据对应的类是“1”,9是比较孤独的,对应类“-1”。抛开孤独的9不讲,“0 1 2”、“3 4 5”、“6 7 8”这是3类不同的数据,分别对应的类是1、-1、1,直观上推测可知,可以找到对应的数据分界点,比如2.5、5.5、8.5 将那几类数据分成两类。当然,这只是主观臆测,下面实际计算下这个具体过程。
迭代过程1
对于m=1,在权值分布为D1(10个数据,每个数据的权值皆初始化为0.1)的训练数据上,经过计算可得:
可以看到,无论阈值v取2.5,还是8.5,总得分错3个样本,故可任取其中任意一个如2.5,弄成第一个基本分类器为:

上面说阈值v取2.5时则6 7 8分错,所以误差率为0.3,更加详细的解释是:因为样本集中
从而得到G1(x)在训练数据集上的误差率(被G1(x)误分类样本“6 7 8”的权值之和)e1=P(G1(xi)≠yi) = 3*0.1 = 0.3。
然后根据误差率e1计算G1的系数:

这个a1代表G1(x)在最终的分类函数中所占的权重,为0.4236。
接着更新训练数据的权值分布,用于下一轮迭代:

值得一提的是,由权值更新的公式可知,每个样本的新权值是变大还是变小,取决于它是被分错还是被分正确。
即如果某个样本被分错了,则yi * Gm(xi)为负,负负得正,结果使得整个式子变大(样本权值变大),否则变小。
第一轮迭代后,最后得到各个数据新的权值分布D2 = (0.0715, 0.0715, 0.0715, 0.0715, 0.0715, 0.0715, 0.1666, 0.1666, 0.1666, 0.0715)。由此可以看出,因为样本中是数据“6 7 8”被G1(x)分错了,所以它们的权值由之前的0.1增大到0.1666,反之,其它数据皆被分正确,所以它们的权值皆由之前的0.1减小到0.0715。
分类函数f1(x)= a1*G1(x) = 0.4236G1(x)。
此时,得到的第一个基本分类器sign(f1(x))在训练数据集上有3个误分类点(即6 7 8)。
从上述第一轮的整个迭代过程可以看出:被误分类样本的权值之和影响误差率,误差率影响基本分类器在最终分类器中所占的权重。
迭代过程2
对于m=2,在权值分布为D2 = (0.0715, 0.0715, 0.0715, 0.0715, 0.0715, 0.0715, 0.1666, 0.1666, 0.1666, 0.0715)的训练数据上,经过计算可得:
所以,阈值v取8.5时误差率最低,故第二个基本分类器为:

面对的还是下述样本:

很明显,G2(x)把样本“3 4 5”分错了,根据D2可知它们的权值为0.0715, 0.0715, 0.0715,所以G2(x)在训练数据集上的误差率e2=P(G2(xi)≠yi) = 0.0715 * 3 = 0.2143。
计算G2的系数:

更新训练数据的权值分布:

D3 = (0.0455, 0.0455, 0.0455, 0.1667, 0.1667,
0.01667, 0.1060, 0.1060, 0.1060, 0.0455)。被分错的样本“3
4 5”的权值变大,其它被分对的样本的权值变小。
f2(x)=0.4236G1(x)
+ 0.6496G2(x)
此时,得到的第二个基本分类器sign(f2(x))在训练数据集上有3个误分类点(即3 4 5)。
迭代过程3
对于m=3,在权值分布为D3 = (0.0455, 0.0455, 0.0455, 0.1667, 0.1667, 0.01667, 0.1060, 0.1060, 0.1060, 0.0455)的训练数据上,经过计算可得:
所以阈值v取5.5时误差率最低,故第三个基本分类器为:

依然还是原样本:

此时,被误分类的样本是:0 1 2 9,这4个样本所对应的权值皆为0.0455,
所以G3(x)在训练数据集上的误差率e3 = P(G3(xi)≠yi) = 0.0455*4 = 0.1820。
计算G3的系数:

更新训练数据的权值分布:

D4 = (0.125, 0.125, 0.125, 0.102, 0.102, 0.102, 0.065, 0.065, 0.065, 0.125)。被分错的样本“0 1 2 9”的权值变大,其它被分对的样本的权值变小。
f3(x)=0.4236G1(x) + 0.6496G2(x)+0.7514G3(x)
此时,得到的第三个基本分类器sign(f3(x))在训练数据集上有0个误分类点。至此,整个训练过程结束。
现在,咱们来总结下3轮迭代下来,各个样本权值和误差率的变化,如下所示(其中,样本权值D中加了下划线的表示在上一轮中被分错的样本的新权值):
从上述过程中可以发现,如果某些个样本被分错,它们在下一轮迭代中的权值将被增大,同时,其它被分对的样本在下一轮迭代中的权值将被减小。就这样,分错样本权值增大,分对样本权值变小,而在下一轮迭代中,总是选取让误差率最低的阈值来设计基本分类器,所以误差率e(所有被Gm(x)误分类样本的权值之和)不断降低。
综上,将上面计算得到的a1、a2、a3各值代入G(x)中,G(x) = sign[f3(x)] = sign[ a1 * G1(x) + a2 * G2(x) + a3 * G3(x) ],得到最终的分类器为:
G(x) = sign[f3(x)] = sign[ 0.4236G1(x) + 0.6496G2(x)+0.7514G3(x) ]。
2 Adaboost的误差界
通过上面的例子可知,Adaboost在学习的过程中不断减少训练误差e,直到各个弱分类器组合成最终分类器,那这个最终分类器的误差界到底是多少呢?
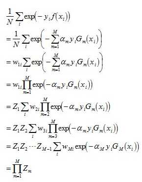
事实上,Adaboost 最终分类器的训练误差的上界为:

下面,咱们来通过推导来证明下上述式子。
当G(xi)≠yi时,yi*f(xi)<0,因而exp(-yi*f(xi))≥1,因此前半部分得证。
关于后半部分,别忘了:

整个的推导过程如下:

这个结果说明,可以在每一轮选取适当的Gm使得Zm最小,从而使训练误差下降最快。接着,咱们来继续求上述结果的上界。
对于二分类而言,有如下结果:

其中,
。
继续证明下这个结论。
由之前Zm的定义式跟本节最开始得到的结论可知:

而这个不等式
可先由e^x和1-x的开根号,在点x的泰勒展开式推出。
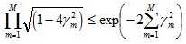
值得一提的是,如果取γ1, γ2… 的最小值,记做γ(显然,γ≥γi>0,i=1,2,...m),则对于所有m,有:

这个结论表明,AdaBoost的训练误差是以指数速率下降的。另外,AdaBoost算法不需要事先知道下界γ,AdaBoost具有自适应性,它能适应弱分类器各自的训练误差率 。
最后,Adaboost 还有另外一种理解,即可以认为其模型是加法模型、损失函数为指数函数、学习算法为前向分步算法的二类分类学习方法,下个月即12月份会再推导下,然后更新此文。而在此之前,有兴趣的可以参看《统计学习方法》第8.3节或其它相关资料。
3 Adaboost 指数损失函数推导
事实上,在上文1.2节Adaboost的算法流程的步骤3中,我们构造的各个基本分类器的线性组合

是一个加法模型,而Adaboost算法其实是前向分步算法的特例。那么问题来了,什么是加法模型,什么又是前向分步算法呢?
3.1 加法模型和前向分步算法
如下图所示的便是一个加法模型

其中,称为基函数,称为基函数的参数,称为基函数的系数。
在给定训练数据及损失函数的条件下,学习加法模型成为经验风险极小化问题,即损失函数极小化问题:

随后,该问题可以作如此简化:从前向后,每一步只学习一个基函数及其系数,逐步逼近上式,即:每步只优化如下损失函数:

这个优化方法便就是所谓的前向分步算法。
下面,咱们来具体看下前向分步算法的算法流程:

得到参数
和
。


就这样,前向分步算法将同时求解从m=1到M的所有参数(
、
)的优化问题简化为逐次求解各个
、
(1≤m≤M)的优化问题。
3.2 前向分步算法与Adaboost的关系
//**************省略***************//
4 参考文献与推荐阅读
--------------------------------------------------------------------------------------原文结束-------------------------------------------------------------------------------------------
1.计算错误:
在1.3 Adaboost的一个例子中,e2=P(G2(xi)≠yi) = 0.0715 * 3 = 0.2143,明显的计算错误,0.0715*3=0.2145,由于这个计算错误,之后的a2,D3,f2(x),f3(x)全部错误,比如a2=0.649,而不是0.6496.
这一点计算错误在本文章的众多装在版本中都存在,并且原书中也是错误的。
2.权值分布D2的计算过程
文中在对于权值分布D2,D3都是直接给出结果,没有给出计算过程,如果一步步推到的话,这个计算过程还是很重要的,补充如下:
已知e1=P(G1(xi)≠yi) = 3*0.1 = 0.3, G1的系数:
=log(√(3/7)),D1=(0.1,0.1,0.1,0.1,0.1,0.1,0.1,0.1,0.1,0.1)
D的计算公式:
eα=√(3/7), e-α=√(7/3), D1i*e+-α=(√(3/7),√(3/7),√(3/7),√(3/7),√(3/7),√(3/7),√(7/3),√(7/3),√(7/3),√(3/7))/10,因为只有6 7 8分错,所以为√(7/3),其他的为√(3/7)
Sum(D)=((√(3/7))*7+(√(7/3))*3)/10
所以计算D2约等于(0.715,0.715,0.715,0.715,0.715,0.715,0.1666,0.1666,0.1666,0.715)
同样D3的计算方法类似。
另外,Python计算D的部分代码如下
alpha = float( 0.5 * log((1.0 - error) / max(error, 1e-16)))
expon = multiply(-1 * alpha * mat(classLabels).T, classEst)
D = multiply(D, exp(expon))
D = D / D.sum()
原文:http://www.cnblogs.com/shanlizi/p/7009832.html