作者:桂。
时间:2017-06-08 08:01:41
链接:http://www.cnblogs.com/xingshansi/p/6957027.html
原文链接:http://pan.baidu.com/s/1nvp1bJF
前言
理论上借助VAD可以实现噪声估计,但这是远远不够的,例如在low-SNR场景下,甚至Noise是non-staitonary,原文交代了噪声估计的重要性:
The majority of the VAD algorithms encounter problems in low-SNR conditions, particularly when the noise is nonstationary [1,2]. Also, some of those algorithms require tuning. Having an accurate VAD algorithm in a nonstationary environment might not be sufficient in speech-enhancement applications, as an accurate noise estimate is required at all times, even during speech activity. Noise-estimation algorithms that continuously track the noise spectrum are therefore more suited for speech-enhancement applications in nonstationary scenarios. This is a particularly challenging task, as we need to somehow estimate the noise spectrum even during speech activity. However, as we will see in this chapter, this can be accomplished by exploiting a few key properties of the speech signal.
一、Single Microphone Noise Spectrum Estimation
这个思路就是借助之前文章里提到的OMLSA算法,omlsa算法主要分为四个模块:
1-log-MMSE估计器;2-priori SNR估计;3-语音不存在概率估计;4-基于MCRA/IMCRA的噪声估计。
MCRA结构图:

细节可以参考之前的文章,这里就不再重复了。
二、Microphone Array Post-Filtering
原理框图

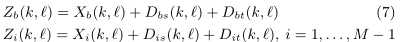
其中

D分两个部分是假设噪声由稳态噪声、瞬态噪声两部分组成。
对每一个分支分别计算平均功率谱,并借助MCRA实现噪声谱估计,这两个操作的具体细节参考之前的文章。
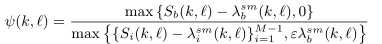
定义变量(还起了一个名字TBRR

其中
,可以看出
也可以理解成语音存在概率,这样一来判断语音不存在概率的时候相当于多了一个评价的准则,如果综合两个弱分类器实现强分类就是接下来的问题了。
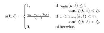
回顾single-channel中的q(语音不存在概率)定义式

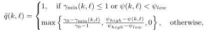
给出multi-channel中的q定义式

其中
,其实两个评价准则结合主要体现在or上。
剩下的操作与single-channel就完全一致了。
【论文:麦克风阵列增强】Microphone Array Post-Filtering For Non-Stationary Noise Suppression
原文:http://www.cnblogs.com/xingshansi/p/6957027.html