本文是Andrew Ng在Coursera的机器学习课程的笔记。
Logistic回归属于分类模型。回顾线性回归,输出的是连续的实数,而Logistic回归输出的是[0,1]区间的概率值,通过概率值来判断因变量应该是1还是0。因此,虽然名字中带着“回归”(输出范围常为连续实数),但Logistic回归属于分类模型(输出范围为一组离散值构成的集合)。
假如我们的自变量是“数学课和英语课的成绩”,x={x1,x2},因变量是“能否被哥大录取”,y∈{0,1}。我们要通过这两个自变量的分布,来预测因变量的值。Logistic回归的步骤为:
比较线性回归与Logistic回归,可以看出二者非常相似,但是Logistic回归的拟合函数(步骤一)和代价函数(步骤二)的定义方法与线性回归有所不同。

线性回归的拟合函数为:hθ(x) = θTx,输出范围为所有实数,而其因变量的取值范围也确实属于所有实数。但是Logistic回归的最终输出要么是0,要么是1,我们不能直接套用线性回归的拟合函数。对于Logistic回归,我们需要控制输出在[0,1]之间,因此借助函数g:
g(z)=11+e?zg(z)=11+e?z
函数g为S型函数(Sigmoid function),也称为Logistic function,“Logistic回归”就是得名于此。最终的拟合函数为:
hθ(x)=g(θTx)=11+e?θTxhθ(x)=g(θTx)=11+e?θTx
这个拟合函数的输出范围在[0,1]之间,表示分类结果为1的可能性。例如,我输入我的成绩,得到的拟合函数输出值为0.7,就表示我有70%的概率被哥大录取(30%的概率被拒)。当输出值超过0.5,我们将其分类为1(这表示模型最终预测我会被哥大录取)。值为0.5的线称为“Decision Boundary”(可以是曲线)。
想象一个三维坐标系(x1,x2,y),对于任意的地面坐标(x1,x2),都有唯一的y值与之对应。首先计算 θTx,值可正可负且没有边界。然后将其作为S型函数g的输入,得到的输出固定在[0,1]之间。当 θTx≥0时,h≥0.5,预测为1分类,否则为0分类。拟合函数的意义就在于将值固定在0到1之间。

如果直接套用线性回归的代价函数,那么得到的代价函数将非凸(non-convex),利用梯度下降我们可能停留在局部最小值,而不是我们想要的全局最小值。因此我们需要重新定义代价函数。
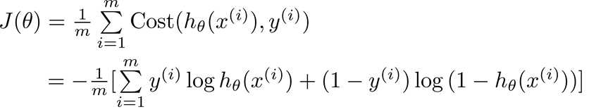
对于一个样本,我们新的代价函数定义如下:

公式可以进一步化简为:
Cost(hθ(x),y)=?ylog(hθ(x))?(1?y)log(1?hθ(x))Cost(hθ(x),y)=?ylog(hθ(x))?(1?y)log(1?hθ(x))
下图是代价函数曲线,横坐标为h的值,纵坐标为代价。可以看出,在y=1的前提下,如果预测值越接近1,那么相应代价就越小,反之则越大。

将所有m个样本的代价累加并平均,我们有最终的代价函数:

这个代价函数满足convex的条件,所以有全局最小值。其来源与最大似然估计有关,此处略去细节。
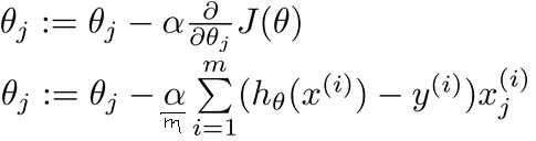
我们采用与线性回归中一样的梯度下降法来确定θ的值,即设置一个合适的学习率α之后,同步更新所有j=1 to n:

重复更新步骤,直到代价函数的值收敛为止。
我们在第三步使用的梯度下降法虽然可行,但是收敛速度比较慢。有不少高级梯度下降算法已经被提出,包括 Conjugate gradient、BFGS、L-BFGS 等等。这些算法的优点是不需要手动挑选学习率,速度也较快,但是缺点就是比较复杂,难以手动实现。不过,借助matlab我们就可以利用这些算法来计算了。我们可以利用matlab中的 fminunc函数(Find minimum of unconstrained multivariable function) 来实现高级操作。
|
1
2
3
|
options = optimset(‘GradObj’, ‘on’, ‘MaxIter’, ‘100’);initialTheta = zeros(2,1);[optTheta, functionVal, exitFlag] = fminunc(@costFunction, initialTheta, options); |
fminunc函数 的:
输入是ex2data1.txt文件,前两列是自变量,最后一列是因变量,用逗号分隔,格式类似于:
34.62365962451697,78.0246928153624,0
30.28671076822607,43.89499752400101,0
……
这个代码用两种方法来进行梯度下降,一种是常规方法,一种是高级方法。实验中发现常规方法经过了很长时间(大约好几分钟)还是没有收敛,且需要考虑学习率的大小;而高级方法只需要几秒钟就能收敛,并且不需要考虑学习率。
|
1
2
3
4
5
6
7
8
9
10
11
12
13
14
15
16
17
18
19
20
21
22
23
24
25
26
27
28
29
30
31
32
33
34
35
36
37
38
39
40
41
42
43
44
45
46
47
48
49
50
51
52
53
54
55
56
57
58
59
60
61
62
63
64
65
66
67
68
69
70
71
72
73
74
75
76
77
78
79
80
81
|
function logisticRegressionDemo( )%A demo of logistic regression% Logistic regression using traditional gradient descent and advanced methods%% Load Datadata = load(‘ex2data1.txt‘);X = data(:, [1, 2]); y = data(:, 3);%% ============ Part 1: Compute Cost and Gradient ============% Setup the data matrix appropriately, and add ones for the intercept term[m, n] = size(X);% Add intercept term to x and X_testX = [ones(m, 1) X];% Initialize fitting parametersinitial_theta = zeros(n + 1, 1);% Compute and display initial cost and gradient[cost, grad] = costFunction(initial_theta, X, y);theta = initial_theta;iterNum = 50000;costList = zeros(iterNum,1);% this method fails because it doesn‘t converge even I set iteration number to 50000, which takes quite a long timefor i=1:iterNum theta = theta - 0.001 * grad; [cost, grad] = costFunction(theta, X, y); costList(i,1)= cost;end;plot(costList);% ======================= Predict ============================prob = sigmoid([1 45 85] * theta);fprintf([‘For a student with scores 45 and 85, we predict an admission ‘ ... ‘probability of %f\n\n‘], prob);%% ============= Part 2: Optimizing using fminunc =============% Set options for fminuncoptions = optimset(‘GradObj‘, ‘on‘, ‘MaxIter‘, 400);% Run fminunc to obtain the optimal theta% This function will return theta and the cost[theta, cost] = fminunc(@(t)(costFunction(t, X, y)), initial_theta, options);% ======================= Predict ============================prob = sigmoid([1 45 85] * theta);fprintf([‘For a student with scores 45 and 85, we predict an admission ‘ ... ‘probability of %f\n\n‘], prob);endfunction g = sigmoid(z)%SIGMOID Compute sigmoid functoon% J = SIGMOID(z) computes the sigmoid of z.g = 1 ./ (1 + exp(-z));endfunction [J, grad] = costFunction(theta, X, y)%COSTFUNCTION Compute cost and gradient for logistic regression% J = COSTFUNCTION(theta, X, y) computes the cost of using theta as the% parameter for logistic regression and the gradient of the cost% w.r.t. to the parameters.% Initialize some useful valuesm = length(y); % number of training examplesJ = 0;grad = zeros(size(theta));for i = 1:m J = J + (-y(i)) * log(sigmoid(theta‘ * X(i,:)‘)) - (1-y(i)) * log(1-sigmoid(theta‘ * X(i,:)‘)); grad = grad + (sigmoid(theta‘ * X(i,:)‘) - y(i)) * X(i,:)‘;endJ = J / m;grad = grad ./ m;end |
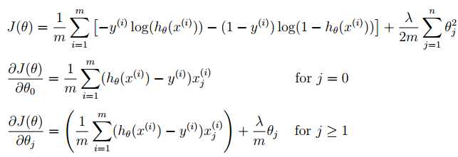
我们采用正则化(Regularization)的方法,通过修改代价函数来防止过拟合。
过拟合问题一般归咎于过多的特征类型。有两种方法来减少过拟合:
正则化除了能防止过拟合之外,还有一个好处就是可以避免利用normal equation一步到位地求得参数值中需要考虑的矩阵可逆问题,因为加入正则参数之后的矩阵总是可逆的。
修改之后的代价函数和梯度方程见下,出于习惯我们不对j=0的参数做正则化,但是即使做了影响也不大:

有关正则化的详细讨论可以见我爱公开课的笔记。
原文:http://www.cnblogs.com/zhehan54/p/7132966.html