在拿到一组数据时,我们需要先观察数据选择特征甚至构造特征,然后选择合适的模型。
线性回归并不适用所有数据,有时候我们需要用曲线来拟合我们的数据。
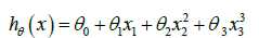
比如一个二次模型: 
或者三次模型:

对于多项式模型,我们可以构造特征如:
x2 = x22
x3 = x33
从而可以把模型转化为线性回归模型。
注:在构造特征(模型选择)时,应充分观察数据分布以及大致的函数图形特征。比如上面的数据我们可以有以下两种选择:

另外,对于多项式回归模型,构造完特征之后一般各特征的尺度都不一样甚至都相差很大,所以特征缩放很有必要。
原文:http://www.cnblogs.com/J-K-Guo/p/7171921.html