对于线性回归,我们不能使用相同的成本函数,因为logistic函数会导致输出波动,导致许多局部最优解。换句话说,它不是一个凸函数。
相反,我们的逻辑回归的成本函数看起来像:

当y = 1,我们得到如下图J(θ)与H(θ)

当y = 0,我们得到如下图J(θ)与H(θ)


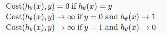
如果我们的正确答案y是0,那么如果我们的假设函数输出0,则代价函数为0。如果我们的假设接近1,那么代价函数将接近无穷大。
如果我们的正确答案y是1,那么如果我们的假设函数输出1,代价函数将是0。如果我们的假设接近0,那么代价函数将接近无穷大。
注意写作的成本函数,这样保证了J(θ)是Logistic回归。
原文:http://www.cnblogs.com/zhengzhe/p/7225296.html