1.对非平面的三角形面片进行差值,可以从指定的定点法相、或者边界切线方向开始进行差值,即从三个端点值,以及留个且向量使用Hermite差值完成。

对于曲面三角形的任一条边,如上图所示。如果向量定点v0处的法向量n0没有给出通过标签<normal>给出,则通过计算v0点的两个边的切向量的叉积的方式,计算v0d的法相量n0。
其中,该曲面三角巷的曲率边通过标签<vertices>下的元素<edge>进行指定。
计算重心点的且向量,通过使用二次Hermite曲线差值的方式,然后对切片法向量单位化处理。
同理,然后计算定点v1。
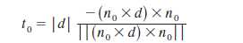
如果且向量也没有在<edge>中指定,则v0出的曲线且向量垂直于v0的顶点法向量与[V1 -V0]矢量的叉积结果。因此可以使用下面的公式:其中:d = V0V1向量。
2. 计算插值点的相关量
(1) 计算中点出的点v(0.5),通过二阶Hermite曲线差值来计算中点点的坐标。;
(2)通过二阶Hermite曲线差值函数的倒数来计算中点的且向量;
3. 划曲面三角形细分
这样,三条曲线边就产生的三个新顶点,新法向量。将三角形划分成为4个三角形。
递归处理,指导精度达到要求。
endl;
原文:http://www.cnblogs.com/icmzn/p/7279108.html