>>>排列(有序)
从n个不同的元素中,任取m(m<=n)个元素,按照一定的顺序排成一列,叫做从n个不同元素中取出m个元素的排列数,用Pnm表示,p是排列”排列“英文Permatation的第一个英文字母,在数学中排列的公式如下:
Pmn=n(n-1)(n-2)……(n-m+1) 公式中的 n,m∈N,且m ≤ n
如果m=n,就是n的阶乘了,如下:
Pnn=n(n-1)(n-2)……3×2×1=n!
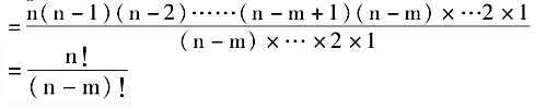
用阶乘表达排列:
Pmn=n(n-1)(n-2)……(n-m+1)

>>>组合(无序)
从n个不同元素中,任取m(m<=n)个元素拼成一组,叫做从n个不同元素中取出m个元素的组合,用Cnm表示,C是英文Combination的第一个 字母。




这里的 n,m∈N,且m ≤ n,这个公式就叫做组合数公式。
原文:http://www.cnblogs.com/xindeng/p/7285016.html