本文将介绍信息量,熵,交叉熵,相对熵的定义,以及它们与机器学习算法中代价函数的定义的联系。转载请保留原文链接:http://www.cnblogs.com/llhthinker/p/7287029.html
信息的量化计算:

解释如下:
信息量的大小应该可以衡量事件发生的“惊讶程度”或不确定性:
如果有?告诉我们?个相当不可能的事件发?了,我们收到的信息要多于我们被告知某个很可能发?的事件发?时收到的信息。如果我们知道某件事情?定会发?,那么我们就不会接收到信息。 也就是说,信息量应该连续依赖于事件发生的概率分布p(x) 。因此,我们想要寻找?个基于概率p(x)计算信息量的函数h(x),它应该具有如下性质:
又因为如果两个不相关事件是统计独?的,则有p(x, y) = p(x)p(y)。根据不相关事件概率可乘、信息量可加,很容易想到对数函数,看出h(x)?定与p(x)的对数有关。因此,有
满足上述性质。
对于一个随机变量X而言,它的所有可能取值的信息量的期望就称为熵。熵的本质的另一种解释:最短平均编码长度(对于离散变量)。
离散变量:

连续变量:

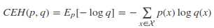
现有关于样本集的2个概率分布p和q,其中p为真实分布,q非真实分布。按照真实分布p来衡量识别一个样本的熵,即基于分布p给样本进行编码的最短平均编码长度为:

如果使用非真实分布q来给样本进行编码,则是基于分布q的信息量的期望(最短平均编码长度),由于用q来编码的样本来自分布p,所以期望与真实分布一致。所以基于分布q的最短平均编码长度为:

上式CEH(p, q)即为交叉熵的定义。
将由q得到的平均编码长度比由p得到的平均编码长度多出的bit数,即使用非真实分布q计算出的样本的熵(交叉熵),与使用真实分布p计算出的样本的熵的差值,称为相对熵,又称KL散度。
KL(p, q) = CEH(p, q) - H(p)=

相对熵(KL散度)用于衡量两个概率分布p和q的差异。注意,KL(p, q)意味着将分布p作为真实分布,q作为非真实分布,因此KL(p, q) != KL(q, p)。


Ref:
《模式识别与机器学习》1.6节
http://blog.csdn.net/rtygbwwwerr/article/details/50778098
https://www.zhihu.com/question/41252833
原文:http://www.cnblogs.com/llhthinker/p/7287029.html