转自:http://www.cnblogs.com/Sinte-Beuve/p/6164689.html
本文主要讲了梯度下降法的两种迭代思路,随机梯度下降(Stochastic gradient descent)和批量梯度下降(Batch gradient descent)。以及他们在python中的实现。
梯度下降是一个最优化算法,通俗的来讲也就是沿着梯度下降的方向来求出一个函数的极小值。那么我们在高等数学中学过,对于一些我们了解的函数方程,我们可以对其求一阶导和二阶导,比如说二次函数。可是我们在处理问题的时候遇到的并不都是我们熟悉的函数,并且既然是机器学习就应该让机器自己去学习如何对其进行求解,显然我们需要换一个思路。因此我们采用梯度下降,不断迭代,沿着梯度下降的方向来移动,求出极小值。
此处我们还是用coursea的机器学习课中的案例,假设我们从中介那里拿到了一个地区的房屋售价表,那么在已知房子面积的情况下,如何得知房子的销售价格。显然,这是一个线性模型,房子面积是自变量x,销售价格是因变量y。我们可以用给出的数据画一张图。然后,给出房子的面积,就可以从图中得知房子的售价了。

现在我们的问题就是,针对给出的数据,如何得到一条最拟合的直线。
对于线性模型,如下。

接下来的梯度下降法就有两种不同的迭代思路。
现在我们就要求出J(θ)取到极小值时的
θT 向量。之前已经说过了,沿着函数梯度的方向下降就能最快的找到极小值。

θT 的偏导数,也就得到了向量中每一个
θ 的梯度。

可以看到,批量梯度下降是用了训练集中的所有样本。因此在数据量很大的时候,每次迭代都要遍历训练集一遍,开销会很大,所以在数据量大的时候,可以采用随机梯度下降法。
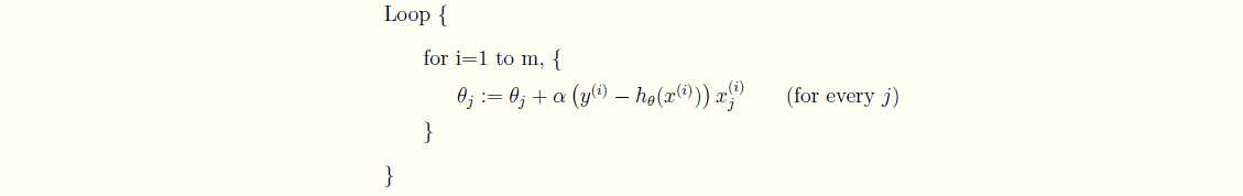
和批量梯度有所不同的地方在于,每次迭代只选取一个样本的数据,一旦到达最大的迭代次数或是满足预期的精度,就停止。
可以得出随机梯度下降法的θ更新表达式。
迭代直到收敛。

下面是python的代码实现,现在仅仅是用纯python的语法(python2.7)来实现的。随着学习的深入,届时还会有基于numpy等一些库的实现,下次补充。
#encoding:utf-8 #随机梯度 def stochastic_gradient_descent(x,y,theta,alpha,m,max_iter): """随机梯度下降法,每一次梯度下降只使用一个样本。 :param x: 训练集种的自变量 :param y: 训练集种的因变量 :param theta: 待求的权值 :param alpha: 学习速率 :param m: 样本总数 :param max_iter: 最大迭代次数 """ deviation = 1 iter = 0 flag = 0 while True: for i in range(m): #循环取训练集中的一个 deviation = 0 h = theta[0] * x[i][0] + theta[1] * x[i][1] theta[0] = theta[0] + alpha * (y[i] - h)*x[i][0] theta[1] = theta[1] + alpha * (y[i] - h)*x[i][1] iter = iter + 1 #计算误差 for i in range(m): deviation = deviation + (y[i] - (theta[0] * x[i][0] + theta[1] * x[i][1])) ** 2 if deviation <EPS or iter >max_iter: flag = 1 break if flag == 1 : break return theta, iter #批量梯度 def batch_gradient_descent(x,y,theta,alpha,m,max_iter): """批量梯度下降法,每一次梯度下降使用训练集中的所有样本来计算误差。 :param x: 训练集种的自变量 :param y: 训练集种的因变量 :param theta: 待求的权值 :param alpha: 学习速率 :param m: 样本总数 :param max_iter: 最大迭代次数 """ deviation = 1 iter = 0 while deviation > EPS and iter < max_iter: deviation = 0 sigma1 = 0 sigma2 = 0 for i in range(m): #对训练集中的所有数据求和迭代 h = theta[0] * x[i][0] + theta[1] * x[i][1] sigma1 = sigma1 + (y[i] - h)*x[i][0] sigma2 = sigma2 + (y[i] - h)*x[i][1] theta[0] = theta[0] + alpha * sigma1 /m theta[1] = theta[1] + alpha * sigma2 /m #计算误差 for i in range(m): deviation = deviation + (y[i] - (theta[0] * x[i][0] + theta[1] * x[i][1])) ** 2 iter = iter + 1 return theta, iter #运行 为两种算法设置不同的参数 # data and init matrix_x = [[2.1,1.5],[2.5,2.3],[3.3,3.9],[3.9,5.1],[2.7,2.7]] matrix_y = [2.5,3.9,6.7,8.8,4.6] MAX_ITER = 5000 EPS = 0.0001 #随机梯度 theta = [2,-1] ALPHA = 0.05 resultTheta,iters = stochastic_gradient_descent(matrix_x, matrix_y, theta, ALPHA, 5, MAX_ITER) print ‘theta=‘,resultTheta print ‘iters=‘,iters #批量梯度 theta = [2,-1] ALPHA = 0.05 resultTheta,iters = batch_gradient_descent(matrix_x, matrix_y, theta, ALPHA, 5, MAX_ITER) print ‘theta=‘,resultTheta print ‘iters=‘,iters
梯度下降法是一种最优化问题求解的算法。有批量梯度和随机梯度两种不同的迭代思路。他们有以下的差异:
使用梯度下降法时需要寻找出一个最好的学习效率。这样可以使得使用最少的迭代次数达到我们需要的精度。
原文:http://www.cnblogs.com/home123/p/7357330.html