首页 > 其他 > 详细

支持向量基

时间:2017-08-22 13:11:00      阅读:337      评论:0      收藏:0      [点我收藏+]
提供了一种更为清晰 更加强大的方式
 
Logistic回归的替代观点
 
技术分享
 
J(θ)=-(yloghθ(x)+(1-y)log(1-hθ(x)))
技术分享
 
 
因为当Z足够大时,产生的误差几乎可以忽略不计。
所以我们用新的代价函数来代替逻辑回归的代价函数。
 
对比逻辑回归和支持向量机的代价函数:
技术分享
 
    C=1/λ
 
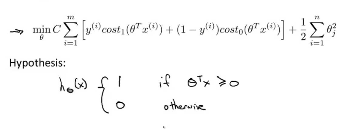
支持向量机的预测函数:
技术分享
 
大间距器:
技术分享
 
在C很大的情况下,为了使代价函数减小,我们希望当y=1时,我们的z能大于等于1(不是仅仅大于等于0)
 
 
所以支持向量机的决策边界为:
技术分享
 
 
大间距分类器的可视化
技术分享
 
 
 
当C不是很大的时候可以忽略掉一些异常点
 
技术分享
 
 
大间距分类器的数学原理
 
在C很大的情况下,为了使代价函数减小,代价函数变成
技术分享
 
 
技术分享
 
前缀近似等于0
 
假如分类边界为下图:
技术分享
 
因为输入集在边界的投影长度较短,导致θ的范式距离较大
显然这使代价函数的值增大。
 
所以在C较大时我们得到以下的分类边界:
技术分享
 
 
 
 
 
 
 
 
 
 
 
 

支持向量基

原文:http://www.cnblogs.com/zhengzhe/p/7410986.html

(0)
(0)
   
举报
评论 一句话评论(0
关于我们 - 联系我们 - 留言反馈 - 联系我们:wmxa8@hotmail.com
© 2014 bubuko.com 版权所有
打开技术之扣,分享程序人生!