当我们要去判断一个非线性的区域,我们会选择用非线性
函数来拟合。

问题是 能不能选择别的特征变量 或者有没有比这些高阶项更好的特征变量
因为 我们并不知道 这些高阶项是不是我们真正需要的 我们之前谈到 计算机
视觉的时候 提到过这时的输入是一个有很多像素的图像 我们看到如果用高阶项
作为特征变量 运算量将是非常大的 因为 有太多的高阶项需要被计算
构建核函数(这里用高斯核函数)

k(x,l(i))是高斯核函数的简写。
用高斯核函数来计算两者的相似度:

通过计算我们能得到三个新的特征变量f1,f2,f3。
例子我们选一个l(1),得到他的高斯函数

下图为他的三维坐标图,在(3,5)这点高斯函数的值为1.

二维图:


我们发现σ越小梯度越大,反之梯度越小。
通过转换变量我们可以得到如下的预测函数:

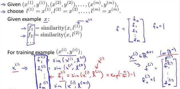
从哪里去得到l点
直接用训练样本作为标识点

计算相应的新的特征值:

相应的预测函数和代价函数:

θTMθ为运算技巧,对结果不会产生较大影响,会提高运算速度。
核函数的偏差和方差:

原文:http://www.cnblogs.com/zhengzhe/p/7411072.html