作为一名机器学习中的小白,参数估计方法的学习必不可少,本着边学习边记录的原则,并参考一些其他博客或资源,作为打开我开始机器学习的第一扇门。
先说说统计学中的两大派别:频率派和贝叶斯学派。
频率派认为:参数是客观存在的,不会改变,虽然未知,但却是固定值。——似然函数
贝叶斯学派认为:参数是随机值,虽没有观察到,但和随机数一样,也有自己的分布。——后验概率,贝叶斯估计
对于参数估计算法来说,一般都会引用“模型已定,参数未知”来很好的解释,即已知变量的概率分布,但其中的参数未知。本文介绍三种参数估计方法:MLE,MAP和贝叶斯估计。首先再次引入贝叶斯公式(这个公式真的是很强大):

极大似然估计:只考虑likelihood(似然),可能这就是为什么叫似然估计(不知道这样理解对不对)
最大后验估计:同时考虑likelihood×prior来等价于后验概率
贝叶斯估计:整体考虑等式右边
极大似然估计,即最大化似然函数来进行参数估计,这里的似然函数的自变量是参数θ,而不是随机变量X。
首先介绍什么是似然函数。先用一个简单的例子:投掷两次硬币,首先给出结果:两次投掷正面向上,反问:在投掷一次硬币正面向上的概率为多少时,出现这样的结果的概率最大(即:似然最大)。当我们取p(H)正面向上的概率为0.6与0.5时,我们可以得出:p(0.6|HH)=0.6×0.6=0.36 > p(0.5|HH)=0.25,所以我们认为p(H)=0.6时,比p(H)=0.5投掷两次硬币出现正面向上的似然更大,其实最大时是p(H) = 1,但实际我们都知道p(H) = 0.5,这就是MLE可能出现的误差。
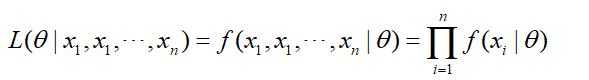
一般的概率密度(PDF)函数都是将随机变量自变量(因为参数已知),而似然函数就是在参数未知时,将自变量与参数调换一下位置即为似然函数:L(θ|X)=f(X|θ)。
首先给出MLE算法的一般步骤:
假设(x1,x2,...,xn)为独立同分布采样,θ为参数模型,f为函数模型。
其中x1,x2,...,xn已知,θ未知。似然定义:
两边取对数得到对数似然:
一般直接求最大似然为平均对数的最大,即:
注:最大似然估计只考虑某个模型产生某个给定的观察序列的概率,不考虑模型本身,这一点和贝叶斯估计不同。
例题可以看看:http://blog.csdn.net/leo_xu06/article/details/51222215
下一篇:最大后验估计(MAP)
因为刚开始写博客,排版,公式安排的不是很好,特别是同时是通过mathtype写出来后截图上传的,博友们有更好的v办法望告知。
最后,请广大博友和我交流,我一般每天都在线,可以给大家及时回复。
参考:
频率派和贝叶斯学派:http://blog.csdn.net/wzgbm/article/details/51721143
http://blog.csdn.net/whatwho_518/article/details/44855929
http://blog.csdn.net/wzgbm/article/details/51721143
原文:http://www.cnblogs.com/gy-jhh-12138/p/7590392.html