连续信号的是卷积积分,离散信号的是卷积和。
脉冲分量
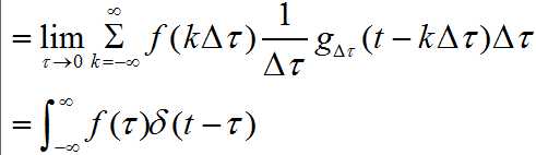
任意非周期信号,将横坐标分为若干个微小等分,得到Δτ为宽,f(kΔτ)为高的一系列微小矩形,每一个微小矩形都是f(kΔτ)为高的门限函数fk(t)=f(kΔτ)gΔτ(t-kΔτ),Δτ越小,误差越小。当Δτ→0时,有Δτ→dτ,kΔτ→τ(这里的k趋近于无穷),由此等式的极限精确地等于原函数。




因此该积分式定义为任意信号f(t)与单位冲激信号δ(t)卷积积分:

卷积积分
(1)变量替换:将自变量由t变换成τ,得到f(τ),h(τ).
(2)反折:画出h(τ)相对于纵轴的反折,得到h(-τ)
(3)移位:把h(-τ)沿τ轴移动t位,得到h(t-τ)
(4)相乘:将移位后的h(t-τ)与f(t)相乘,固定f(t),向右移动h(t-τ)
(5)积分:h(t-τ)与f(t)重叠部分与τ轴围成的面积为t时刻的卷积值
该方法计算方便,关键是给出积分的上下限。
原文:http://www.cnblogs.com/qinguoyi/p/7598425.html