讨论一:
文件名必须与公有类名一致
public class Test{public static void main(String[] args){}public class InnerClass{}}
讨论二:
main方法

无论是否加 return 0;都不可执行。
讨论三:
class Circle{static float PI=3.14f;int r;static float getArea(){return PI*r*r;//编译错误}
思索:为什么java规定程序入口点的main()方法静态的?在java中,main()方法是java应用程序的入口方法,也就是说,程序在运行的时候,第一个执行的方法就是main()方法,这个方法和其他的方法有很大的不同,比如方法的名字必须是main,方法必须是public static void类型的,方法必须是接受一个字符串数组的参数等。
因为main()方法是由Java虚拟机调用的,所以必须是public,虚拟机调用的main()方法的时候,不需要产生任何对象,所以main()方法声明为static,且不需要返回值,所以必须声明为void,最终格式如下所示: public void main(String[] args)

int intValue=100;long longValue=intValue;
double doubleValue=1234567890;float floatValue=(float)doubleValue;System.out.println(floatValue); //1.23456794E9
|
类型
|
长度及描述
|
范围
|
|
char
|
16位,Unicode字符
|
\u000~\uffff或0~65535
|
|
byte
|
8位,有符号,字节
|
-128~127
|
|
short
|
16位,有符号,短整型
|
-32768~32767
|
|
int
|
32位,有符号,整型
|
-2147483648~2147483647
|
|
long
|
64位,有符号,长整型
|
-9.223E18~9.223E18
|
|
float
|
32位,浮点数,IEEE754格式
|
大约-3.4E+38~3.4E+38
|
|
double
|
64位,浮点数,IEEE754格式
|
大约-1.7E+308~1.7E+308
|
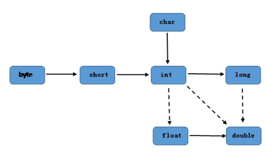
长度大向长度小赋值,会有精度损失
动手实验:
运行此程序,你看到了什么样的输出,意外吗?


结论:使用double类型的数值进行计算, 其结果是不精确的。
为什么double类型的数值进行运算得不到“数学上精确”的结果?这个涉及到二进制与十进制的转换问题。
N进制可以理解为:数值×基数的幂,例如我们熟悉的十进制数123.4=1×102+2×10+3×(10的0次幂)+4×(10的-1次幂);其它进制的也是同理,例如二进制数11.01=1×2+1×(2的0次幂)+0+1×(2的-2次幂)=十进制的3.25。
double类型的数值占用64bit,即64个二进制数,除去最高位表示正负符号的位,在最低位上一定会与实际数据存在误差(除非实际数据恰好是2的n次方)。
举个例子来说,比如要用4bit来表示小数3.26,从高到低位依次对应2的1,0,-1,-2次幂,根据最上面的分析,应当在二进制数11.01(对应十进制的3.25)和11.10(对应十进制的3.5)之间选择。
简单来说就是我们给出的数值,在大多数情况下需要比64bit更多的位数才能准确表示出来(甚至是需要无穷多位),而double类型的数值只有64bit,后面舍去的位数一定会带来误差,无法得到“数学上精确”的结果。

如何处理精度损失?解决方法:使用BigDecimal类


注意:在构造BigDecimal对象时应使用字符串而不是double数值,否则,仍有可能引发计算精度问题。(为什么会这样?)
double,不能准确地代表16位有效数以上的数字,在使用BigDecimal时,应用 BigDecimal(String)构造器创建对象才有意义。另外,BigDecimal所创建的是对象,我们不能使用传统的+、-、*、/等算术运算 符直接对其对象进行数学运算,而必须调用其相对应的方法。方法中的参数也必须是BigDecimal的对象。
动手动脑:
int X=100; int Y=200; System.out.println("X+Y="+X+Y); System.out.println(X+Y+"=X+Y");
(注:部分内容来自于网络)
原文:http://www.cnblogs.com/watm/p/7620056.html