原文链接:http://www.cnblogs.com/jerrylead/archive/2011/03/05/1971867.html
一般来说,回归不用在分类问题上,因为回归是连续型模型,而且受噪声影响比较大。如果非要使用回归算法,可以使用logistic回归。
logistic回归本质上是线性回归,只是在特征到结果的映射中加入了一层函数映射,即先把特征线性求和,然后使用函数g(z)作为假设函数来预测。g(z)可以将连续值映射到0和1上。
logistic回归的假设函数如下,线性回归假设函数只是\(\theta&^x\)。
\[h_\theta(x)=g(\theta^Tx)=\frac{1}{1+e^{-\theta^Tx}}\]
\[g(z)=\frac{1}{1+e^{-z}}\]
logistic回归用来分类0/1问题,也就是预测结果属于0或者1的二值分类问题。这里假设了二值满足伯努利分布,也就是
当然假设它满足泊松分布、指数分布等等也可以,只是比较复杂,后面会提到线性回归的一般形式。
与第7节一样,仍然求的是最大似然估计,然后求导,得到迭代公式结果为
![]()
可以看到与线性回归类似,只是
换成了
,而
实际上就是
经过g(z)映射过来的。
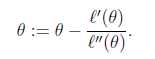
第7和第9节使用的解最大似然估计的方法都是求导迭代的方法,这里介绍了牛顿下降法,使结果能够快速的收敛。
来迭代求解最小值。
当应用于求解最大似然估计的最大值时,变成求解最大似然估计概率导数
的问题。
那么迭代公式写作

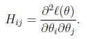
当θ是向量时,牛顿法可以使用下面式子表示
牛顿法收敛速度虽然很快,但求Hessian矩阵的逆的时候比较耗费时间。
当初始点X0靠近极小值X时,牛顿法的收敛速度是最快的。但是当X0远离极小值时,牛顿法可能不收敛,甚至连下降都保证不了。原因是迭代点Xk+1不一定是目标函数f在牛顿方向上的极小点。
之所以在logistic回归时使用
![]()
的公式是由一套理论作支持的。
这个理论便是一般线性模型。
首先,如果一个概率分布可以表示成
![]()
时,那么这个概率分布可以称作是指数分布。
伯努利分布,高斯分布,泊松分布,贝塔分布,狄特里特分布都属于指数分布。
在logistic回归时采用的是伯努利分布,伯努利分布的概率可以表示成

其中
![]()
得到
![]()
这就解释了logistic回归时为了要用这个函数。
一般线性模型的要点是
2) 给定x,我们的目标是要确定
,大多数情况下
,那么我们实际上要确定的是
,而
。(在logistic回归中期望值是
,因此h是
;在线性回归中期望值是
,而高斯分布中
,因此线性回归中h=
)。
最后举了一个利用一般线性模型的例子。
假设预测值y有k种可能,即y∈{1,2,…,k}
比如k=3时,可以看作是要将一封未知邮件分为垃圾邮件、个人邮件还是工作邮件这三类。
定义
![]()
那么
![]()
这样
![]()
即式子左边可以有其他的概率表示,因此可以当作是k-1维的问题。
为了表示多项式分布表述成指数分布,我们引入T(y),它是一组k-1维的向量,这里的T(y)不是y,T(y)i表示T(y)的第i个分量。

应用于一般线性模型,结果y必然是k中的一种。1{y=k}表示当y=k的时候,1{y=k}=1。那么p(y)可以表示为

其实很好理解,就是当y是一个值m(m从1到k)的时候,p(y)=
,然后形式化了一下。
那么

最后求得

而y=i时

求得期望值
那么就建立了假设函数,最后就获得了最大似然估计
对该公式可以使用梯度下降或者牛顿法迭代求解。
解决了多值模型建立与预测问题。
原文:http://www.cnblogs.com/mikewolf2002/p/7622099.html