首页 > 其他 > 详细

MT【82】凸函数

时间:2017-10-06 11:15:56      阅读:278      评论:0      收藏:0      [点我收藏+]

技术分享


技术分享

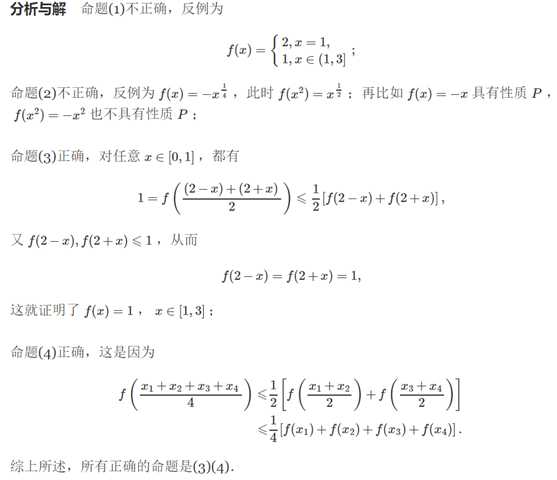
评:对于(3)几何上来看要满足性质$P$图像来看必须下凸。这样区间中点$x=2$处不可能为最大.(4)的形式让我想起在证明算术几何平均不等式时历史上著名的柯西反向归纳证明:

技术分享

技术分享

MT【82】凸函数

原文:http://www.cnblogs.com/mathstudy/p/7630865.html

(0)
(0)
   
举报
评论 一句话评论(0
关于我们 - 联系我们 - 留言反馈 - 联系我们:wmxa8@hotmail.com
© 2014 bubuko.com 版权所有
打开技术之扣,分享程序人生!