yogurt今天要个大家分享一个基础的二维空间多边形面积求算方法,主要也是为了下一篇《椭球体上某区域面积的求算,及Albers投影与墨卡托投影后该区域面积对比》打一个基础。关于投影的相关过程及编程方法,大家可以参考我之前写过的《.gen地图文件的投影编程实现(以墨卡托投影和兰伯特投影为例)》http://www.cnblogs.com/to-sunshine/p/6048438.html。
下面和大家分析一下算法思路吧:
==========================yogurt小课堂开课了=========================
首先,我们知道一个二维多边形可以被分解成多个三角形,多边形的面积即为所有三角形的面积之和了。然后就是怎么将求解三角形的面积与坐标点联系起来了,因为我们在程序中只给出了多边形每个点的坐标而已,这和我们手动计算不一样,毕竟计算机可没这么智能。
三角形的面积 S = 1/2 a X h,这里假设a为三角形的底边长,h为三角形的高。那么这里 h =b X sin夹角 ,这样便让求取面积相关因子变到了三角形的边和夹角上。即 S = 1/2 a X b X sin夹角。看到这里相信聪明的你一定看出来了,a X b X sin夹角,很眼熟啊!对,它等于 | 向量a X 向量b | ,自然而然的,向量便把几何的图形与点坐标联系起来了。
所以,三角形的面积 S = 1/2 | 向量a X 向量b | ,而 | 向量a X 向量b | = X1Y2 - X2Y1 ,如果想要把两条边的交点看做原点的话,那么 | 向量a X 向量b | =(Xa-Xo)(Yb-Yo)- (Xb-Xo)(Ya-Yo)。为了不让分数参与运算,等式两边同时乘2,得到 2S = (Xa-Xo)(Yb-Yo)- (Xb-Xo)(Ya-Yo)。
然后,我们假设在多边形外面有一个点P,多边形有N个顶点(V0~Vn-1)。要知道n-1是多边形的最后一个顶点,那么Vn就是V0,Vn+1就是V1。
多边形的每两个点与这个P点相连都可以组成一个三角形,你会发现,从前一个点到后一个点是顺时针方向时,这个三角形面积为正的话,那么当从前一个点到后一个点是逆时针方向时,三角形面积为负。当正负相抵后,剩下的正好就是多边形的面积!如下图:

因此,得到多边形面积 2S = 三角形(PV0V1) + 三角形(PV1V2) + …… + 三角形(PVn-2Vn-1) + 三角形(PVn-1V0)。
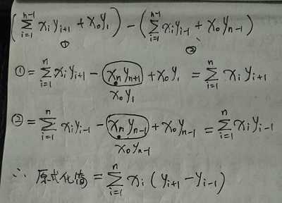
为了方便计算三角形的面积,我们选择P点坐标为(0,0),那么 2S =【 Σ三角形(PViVi+1)】+ 三角形(PVi+1V0),(i属于0到n-2)。下面就有一个比较复杂的换算工作,是为了简化等式,方便计算:


最后,我们得到 2S = Σ【Xi (Yi+1-Yi-1)】,(i属于1~n)。
=================================下课了================================
原理讲完啦,下面来给大家附上求解多边形面积的代码:
假设第一个多边形几个顶点坐标分别是(4,6), (4,-4), (8, -4), (8,-8), (-4, -8), (-4,6), (4,6),用未化简得公式求解;第二个多边形的几个顶点坐标分别是(3,4), (5,11), (12,8), (9,5), (5,6),用化简后的公式求解。
// area.cpp : 定义控制台应用程序的入口点。 // #include "stdafx.h" #include<math.h> typedef struct { int x,y; }point; int _tmain(int argc, _TCHAR* argv[]) { point p[7]; p[0].x=4;p[0].y=6; p[1].x=4;p[1].y=-4; p[2].x=8;p[2].y=-4; p[3].x=8;p[3].y=-8; p[4].x=-4;p[4].y=-8; p[5].x=-4;p[5].y=6; p[6].x=4;p[6].y=6; int area=0; for(int i=0;i<6;i++) { area+=(p[i].x+p[i+1].x)*(p[i+1].y-p[i].y); } area =abs(area/2); printf("The area of graph1 is %d",area); point p2[6]; p2[0].x = 3; p2[0].y = 4; p2[1].x = 5; p2[1].y = 11; p2[2].x = 12;p2[2].y = 8; p2[3].x = 9; p2[3].y = 5; p2[4].x = 5; p2[4].y = 6; p2[5].x = 3; p2[5].y = 4; int area2 = 0; for (int j = 0; j<5; j++) { area2 += (p2[j].x + p2[j + 1].x)*(p2[j + 1].y - p2[j].y); } area2 = abs(area2 / 2); printf("\nThe area of graph2 is %d", area2); return 0; }
结果如下:

大家也可以手动验证一下,程序计算的对不对~~
求解多边形面积2S= Σ【Xi (Yi+1-Yi-1)】,(i属于1~n),公式解析及编程实现
原文:http://www.cnblogs.com/to-sunshine/p/7642222.html