首页 > 其他 > 详细

MT【114】构造二次函数

时间:2017-10-24 17:42:44      阅读:246      评论:0      收藏:0      [点我收藏+]

技术分享


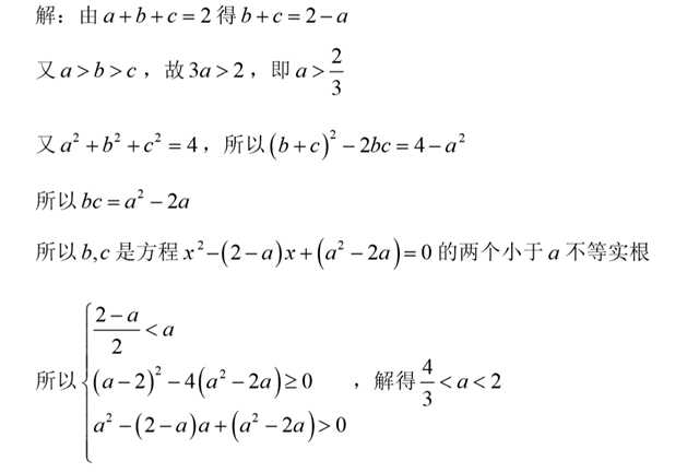
技术分享

评:b+c,bc好比向量里的一组基底,可以将关于b,c的对称式表示出来.

MT【114】构造二次函数

原文:http://www.cnblogs.com/mathstudy/p/7724796.html

(0)
(0)
   
举报
评论 一句话评论(0
关于我们 - 联系我们 - 留言反馈 - 联系我们:wmxa8@hotmail.com
© 2014 bubuko.com 版权所有
打开技术之扣,分享程序人生!