一、实验目的
1.熟悉体系结构的风格的概念
2.理解和应用管道过滤器型的风格。
3、理解解释器的原理
4、理解编译器模型
二、实验环境
硬件:
软件:Python或任何一种自己喜欢的语言
三、实验内容
1、实现“四则运算”的简易翻译器。
结果要求:
1)实现加减乘除四则运算,允许同时又多个操作数,如:2+3*5-6 结果是11
2)被操作数为整数,整数可以有多位
3)处理空格
4)输入错误显示错误提示,并返回命令状态“CALC”

图1 实验结果示例
加强练习:
1、有能力的同学,可以尝试实现赋值语句,例如x=2+3*5-6,返回x=11。(注意:要实现解释器的功能,而不是只是显示)
2、尝试实现自增和自减符号,例如x++
2、采用管道-过滤器(Pipes and Filters)风格实现解释器

图2 管道-过滤器风格

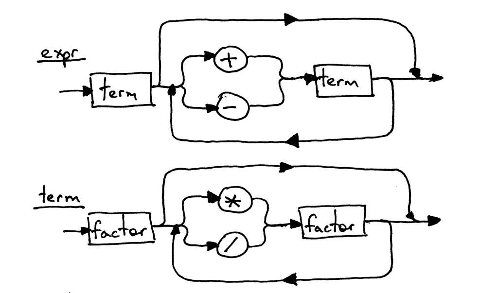
图 3 编译器模型示意图
本实验,实现的是词法分析和语法分析两个部分。
四、实验步骤:
class Arithmetic
{
Regex regexMultiplicationAndDivision = new Regex(@"(([-+]?\d+(\.(\d+))?)((\*|\/)([-+]?\d+(\.(\d+))?))+)");
Regex regexAdditionAndSubtraction = new Regex(@"\((([-+]?\d+(\.(\d+))?)((\+|\-)([-+]?\d+(\.(\d+))?))+)\)");
Regex regexEliminate = new Regex(@"\([-+]?\d+(\.(\d+))?\)");
Regex regexComplete = new Regex(@"(([-+]?\d+(\.(\d+))?)((\+|\-)([-+]?\d+(\.(\d+))?))*)");
Regex regexError = new Regex(@"\)\(|\)(\d+(\.(\d+))?)|(\d+(\.(\d+))?)\(");
internal string Calculation(string expression)
{
if (regexError.IsMatch(expression))
{
throw new Exception();
}
while (true)
{
int iNotMatch = 0;
if (regexMultiplicationAndDivision.IsMatch(expression))
{
expression = regexMultiplicationAndDivision.Replace(expression, MultiplicationAndDivision);
}
else
{
iNotMatch++;
}
if (regexAdditionAndSubtraction.IsMatch(expression))
{
expression = regexAdditionAndSubtraction.Replace(expression, AdditionAndSubtraction);
}
else
{
iNotMatch++;
}
if (regexEliminate.IsMatch(expression))
{
expression = regexEliminate.Replace(expression, Eliminate);
}
else
{
iNotMatch++;
}
if (regexComplete.Match(expression).Value == expression)
{
return Convert.ToDouble(regexComplete.Replace(expression, AdditionAndSubtraction)).ToString();
}
if (iNotMatch == 3)
{
throw new Exception();
}
}
}
string MultiplicationAndDivision(Match match)
{
string text = match.Value;
bool isPositive = true;
foreach (char c in text)
{
if (c == ‘-‘)
{
isPositive = !isPositive;
}
}
text = text.Replace("*+", "*");
text = text.Replace("*-", "*");
text = text.Replace("/+", "/");
text = text.Replace("/-", "/");
text = text.Replace("*", ",*");
text = text.Replace("/", ",/");
string[] numbers = text.Split(‘,‘);
double result = Convert.ToDouble(numbers[0]) >= 0 ? Convert.ToDouble(numbers[0]) : (-Convert.ToDouble(numbers[0]));
for (int i = 1; i < numbers.Length;i++ )
{
if (numbers[i] != "")
{
switch (numbers[i][0])
{
case ‘*‘:
result *= Convert.ToDouble(numbers[i].Substring(1, numbers[i].Length - 1));
break;
case ‘/‘:
result /= Convert.ToDouble(numbers[i].Substring(1, numbers[i].Length - 1));
break;
}
}
}
if (isPositive == false)
{
result = -result;
}
return result >= 0 ? ("+" + result.ToString()) : result.ToString();
}
string AdditionAndSubtraction(Match match)
{
string text = match.Value;
text = text.Replace("(", "");
text = text.Replace(")", "");
text = text.Replace("++", "+");
text = text.Replace("+-", "-");
text = text.Replace("-+", "-");
text = text.Replace("--", "+");
text = text.Replace("+", ",+");
text = text.Replace("-", ",-");
string[] numbers = text.Split(‘,‘);
double result = 0;
foreach (string number in numbers)
{
if (number != "")
{
result += Convert.ToDouble(number);
}
}
return result >= 0 ? ("+" + result.ToString()) : result.ToString();
}
string Eliminate(Match match)
{
return match.Value.Substring(1, match.Value.Length - 2);
}
}
对应结构图:

五、实验总结
对于体系结构应用的理解等。
原文:http://www.cnblogs.com/sun-jf/p/7746869.html