#include <stdio.h> int main() { float x,y; scanf("%f",&x); if(x==0) { y=0; printf("f(%.1f) = %.1f",x,y); } else { y=1.0/x; printf("f(%.1f) = %.1f",x,y); } return 0; }
这道题首先要注意输入的时候的浮点数一要注意,然后按规定的算式给出当x=0是的分支,还有当x!=0的情况即可


没有得到预期答案 原因是忘记取地址
第二题
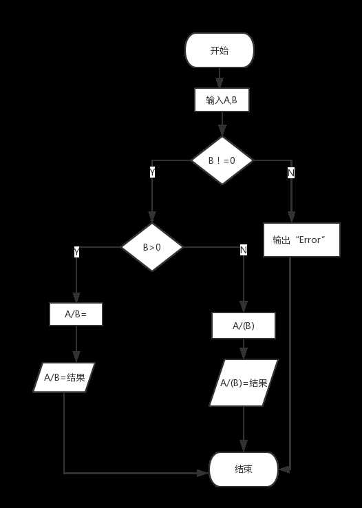
#include <stdio.h> int main() { int A,B; scanf("%d %d",&A,&B); if(B>0) printf("%d/%d=%.2f",A,B,(float)(A*1.0/B*1.0)); else if(B<0) printf("%d/(%d)=%.2f",A,B,(float)(A*1.0/B*1.0)); else printf("%d/%d=Error",A,B); return 0; }
这道题主要是看公式对着输入就好了

这题没什么错误
第三题
#include <stdio.h> int main() { float a,b; scanf("%f",&a); if(a<=50&&a>0) printf("cost = %.2f",(float)(b=0.53*(a*1.00))); else if(a<=0) printf("Invalid Value!"); else printf("cost = %.2f",(float)(b=0.53*50+(a*1.00-50)*0.58)); return 0; }
这题主要想出50千瓦以内是的算式还有50千瓦以上的算式的关系

这道题的问题

还是忘记取地址
第四题
#include <stdio.h> int main() { float a; int b,c; scanf("%f %d",&a,&c); c=c/5.0; if(a<=3.0) printf("%d",b=10+2.0*c); else if(3.0<a&&a<=10.0) printf("%d",(int)(b=10+2*(a-3)+2.0*c)); else printf("%d",(int)(b=(24+3*(a-10)+2.0*c)+0.5)); return 0; }
这题主要的解决方法是要注意分四段的收取方式,即起步价,十公里内,十公里外,停车时间注意这几点即可

这道题也没什么问题



原文:http://www.cnblogs.com/jinjian155/p/7748620.html