性质1 行列式与它的转置行列式相等。
性质2 对换行列式的两行(列),行列式变号
性质3 如果行列式有两行(列)完全相同,则此行列式等于零
性质4 行列式的某一行(列)中所有的元素都相乘同一数k,等于用数k乘此行列式
性质5 行列式中某一行(列)的所有元素的公因子可以提取到行列式记号的外面
性质6 行列式中如果有两行(列)的元素成比例,则此行列式等于零
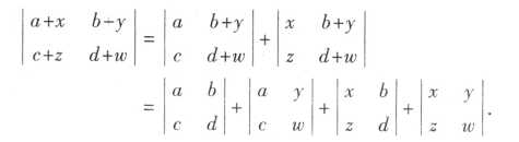
性质7 若行列式的某一行(列)的元素都是两数之和,例如第i行的元素都是两数之和:

则D等于下列两个行列式之和:

性质8 把行列式的某一行(列)的各元素乘同一数然后加到另一行(列)对应的元素上去,行列式不变。
例如:以数k乘第i行加到第j行上(记作rj+kri)有

性质7表明:当某一行(或列)的元素为两数之和时,行列式关于该行(或列)可分解为两个行列式。若n阶行列式每个元素都表示成两数之和,则它可分解成2n个行列式。例如二阶行列式

原文:http://www.cnblogs.com/huangzhenxiong/p/7765791.html