问题描述(注:该题目来自作者改编)
假设某图书馆成立10周年,为回馈VIP会员用户,设计了一个优惠活动:从纪念日起的连续的N天,VIP用户每天可免费借一定数量(由图书馆系统随机生成[1...M]之间的随机数)的书籍。同时,图书馆还有一个规定,如果某用户在第i天享受了借书优惠,那么在第i+1天不能再享受,至少要在第i+2天才能继续享受此优惠活动。
以N=7,M=10为例,某VIP用户抽到的一张优惠卡,主要信息如下:

则该用户在第一、四、七这三天去借书可以接到获得最大的借书量,为23本。
分析:
对于图书馆规定的不能在相邻两天借书,实际上等价于如下的限定条件:如果想在第i天借书,那么在第i-1天(或有)不能借书;同时,在第i+1天(或有)也不能借书。
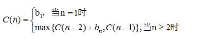
分析其是否具有最优子结构性质,考虑问题规模为n的最大借书量C(n),如果在第n天不借书,必然是因为在第n-1天借了书,那么C(n)必然等于C(n-1);如果在第n天借书,那么C(n)必然等于C(n-2)加上第n天的免费借书量,最后C(n)只需要取这两种情况的最大值即可。第n天借与不借就是一个0-1决策问题,决策后,原问题的解可由子问题C(n-1)或者C(n-2)求解得到。
很容易得到该问题的递推关系(或者说所谓的状态转移方程):

算法实现:
package agdp; public class Books { public static int getMostBooks(int[] b) {//为方便计算,b数组的首项b[0]用0填充,无实际意义 int length = b.length; if(length == 1){return 0;} int[] aux = new int[length];//辅助数组,存储子问题的解 aux[1] = b[1]; for (int i = 2; i < length; i++) { aux[i] = Math.max(aux[i-2]+b[i], aux[i-1]);//对应的在第i天借书或者不借书 } return aux[length-1]; } public static void main(String[] args) { // TODO Auto-generated method stub int[] ary = {0,5,1,2,10,6,2,8}; int result = getMostBooks(ary); System.out.println(result); } }
原文:http://www.cnblogs.com/qcblog/p/7783709.html