转自:https://sherlockliao.github.io/2017/07/10/backward/
backward只能被应用在一个标量上,也就是一个一维tensor,或者传入跟变量相关的梯度。
特别注意Variable里面默认的参数requires_grad=False,所以这里我们要重新传入requires_grad=True让它成为一个叶子节点。

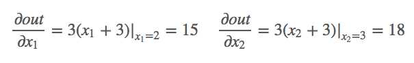
对其求偏导:

1 import torch as t 2 from torch.autograd import Variable as v 3 4 # simple gradient 5 a = v(t.FloatTensor([2, 3]), requires_grad=True) 6 b = a + 3 7 c = b * b * 3 8 out = c.mean() 9 out.backward() 10 print(‘*‘*10) 11 print(‘=====simple gradient======‘) 12 print(‘input‘) 13 print(a.data) 14 print(‘compute result is‘) 15 print(out.data[0]) 16 print(‘input gradients are‘) 17 print(a.grad.data)

下面研究一下如何能够对非标量的情况下使用backward。backward里传入的参数是每次求导的一个系数。
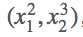
首先定义好输入m=(x1,x2)=(2,3),然后我们做的操作就是n=
,这样我们就定义好了一个向量输出,结果第一项只和x1有关,结果第二项只和x2有关,那么求解这个梯度,

1 # backward on non-scalar output 2 m = v(t.FloatTensor([[2, 3]]), requires_grad=True) 3 n = v(t.zeros(1, 2)) 4 n[0, 0] = m[0, 0] ** 2 5 n[0, 1] = m[0, 1] ** 3 6 n.backward(t.FloatTensor([[1, 1]])) 7 print(‘*‘*10) 8 print(‘=====non scalar output======‘) 9 print(‘input‘) 10 print(m.data) 11 print(‘input gradients are‘) 12 print(m.grad.data)

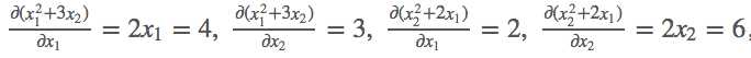
jacobian矩阵

对其求导:

k.backward(parameters)接受的参数parameters必须要和k的大小一模一样,然后作为k的系数传回去,backward里传入的参数是每次求导的一个系数。
# jacobian j = t.zeros(2 ,2) k = v(t.zeros(1, 2)) m.grad.data.zero_() k[0, 0] = m[0, 0] ** 2 + 3 * m[0 ,1] k[0, 1] = m[0, 1] ** 2 + 2 * m[0, 0] # [1, 0] dk0/dm0, dk1/dm0 k.backward(t.FloatTensor([[1, 0]]), retain_variables=True) # 需要两次反向求导 j[:, 0] = m.grad.data m.grad.data.zero_() # [0, 1] dk0/dm1, dk1/dm1 k.backward(t.FloatTensor([[0, 1]])) j[:, 1] = m.grad.data print(‘jacobian matrix is‘) print(j)
我们要注意backward()里面另外的一个参数retain_variables=True,这个参数默认是False,也就是反向传播之后这个计算图的内存会被释放,这样就没办法进行第二次反向传播了,所以我们需要设置为True,因为这里我们需要进行两次反向传播求得jacobian矩阵。

原文:http://www.cnblogs.com/demian/p/8011733.html