首页 > 其他 > 详细

第1章:函数与极限

时间:2018-01-18 16:24:46      阅读:229      评论:0      收藏:0      [点我收藏+]

一、数列的极限:

01、数列极限的定义:

技术分享图片

 

02、收敛数列的性质:

1.收敛数列的极限唯一

2.收敛数列一定有界

3.收敛数列的保号性

4.收敛数列的任一子数列收敛于同一极限

 

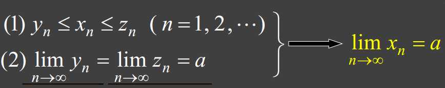
03、极限存在准则:

1.夹逼准则

技术分享图片

2.单调有界数列必有极限

第1章:函数与极限

原文:https://www.cnblogs.com/jad-xxd/p/8310151.html

(0)
(0)
   
举报
评论 一句话评论(0
关于我们 - 联系我们 - 留言反馈 - 联系我们:wmxa8@hotmail.com
© 2014 bubuko.com 版权所有
打开技术之扣,分享程序人生!