本文介绍了机器学习中基本的优化算法—梯度下降算法和随机梯度下降算法,以及实际应用到线性回归、Logistic回归、矩阵分解推荐算法等ML中。
梯度下降算法基本公式
常见的符号说明和损失函数
X :所有样本的特征向量组成的矩阵
x(i) 是第i个样本包含的所有特征组成的向量x(i)=(x(i)1,x(i)2...,x(i)n)
y(i) 第i个样本的label,每个样本只有一个label,y(i)是标量(一个数值)
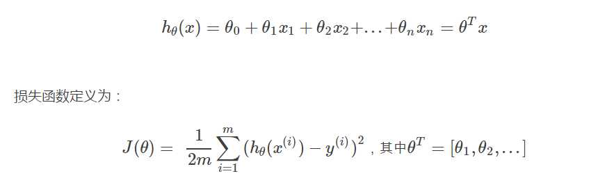
hθ(x(i)) :拟合函数,机器学习中可以用多种类型的拟合函数
θ 是函数变量,是多个变量的向量 θ=[θ1,θ2,...]
|hθ(xi)?y(i)| :拟合绝对误差
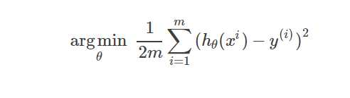
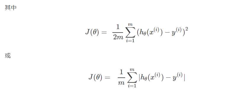
求解的目标是使得所有样本点(m个)平均误差最小,即:

或者平方误差最小,即:

argmin表示使目标函数取最小值时的变量值(即θ)值。

都被称为损失函数(Cost Function)
J(θ)不只是上面两种形式,不同的机器学习算法可以定义各种其它形式。
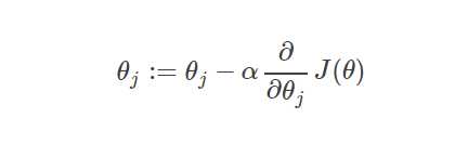
梯度下降迭代公式
为了求解θ=[θ1,θ2,...]的值,可以先对其赋一组初值,然后改变θ的值,使得J(θ)最小。函数J(θ)在其负梯度方向下降最快,所以只要使得每个参数θ按函数负梯度方向改变,则J(θ)能最快找到最小值。即

这就是梯度下降算法的迭代公式,其中α表示步长,即往每次下降最快的方向走多远。
线性回归
以多变量线性回归为例:
拟合函数如下:

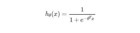
Logistic回归
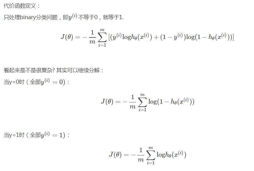
代价函数:
以Sigmoid函数(Logistic函数)为例说明:


为什么这么定义代价函数呢?我自己通俗理解是,求导后形式简洁,而且:
y=0,hθ(x)范围为[0,0.5),越接近0.5,代价越高:
由上图可以看出:?log(1?hθ(x(i)))可以很好衡量某一个样本的代价。
y=1时,hθ(x)范围为(0.5,1],越接近0.5,代价越高:
同样由上图可以看到:?loghθ(x(i))可以很好衡量某一个样本的代价。
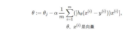
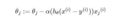
迭代更新公式:
求导过程蛮复杂的,直接给出结果吧:

和线性回归中最后给的更新迭代公式是一模一样的,这也就理解了为什么代价函数设计时比较复杂,还套了log,敢情是为了这??
总之logisitc回归和线性回归最终使用的是一模一样的优化算法。
还可将这个公式写成用向量来表达的形式:

矩阵分解的推荐算法
可以参考我转载的另一篇文章:
http://www.cnblogs.com/kobedeshow/p/3651833.html?utm_source=tuicool&utm_medium=referral
随机梯度下降(SGD)
stochastic gradient descent
从梯度上升算法公式可以看出,每次更新回归系数θ时都需要遍历整个数据集。该方法在处理100个左右的数据集尚可,但是如果有数十亿的样本和成千万的特征,这种方法的计算复杂度就太高了。一种改进的方法是一次仅用一个样本点来更新回归系数。由于可以在新样本到来时,对分类器进行增量更新,因此是一个“在线学习”算法,而梯度下降算法一次处理所有的数据被称为“批处理”。更新公式如下:

参考文献
(1)Stanford机器学习—第三讲. 逻辑回归和过拟合问题的解决 logistic Regression & Regularization
http://blog.csdn.net/abcjennifer/article/details/7716281?locationNum=2
(2)机器学习入门:线性回归及梯度下降
http://blog.csdn.net/xiazdong/article/details/7950084
(3)梯度下降深入浅出
http://binhua.info/machinelearning/%E6%A2%AF%E5%BA%A6%E4%B8%8B%E9%99%8D%E6%B7%B1%E5%85%A5%E6%B5%85%E5%87%BA