1.简单的绘制函数
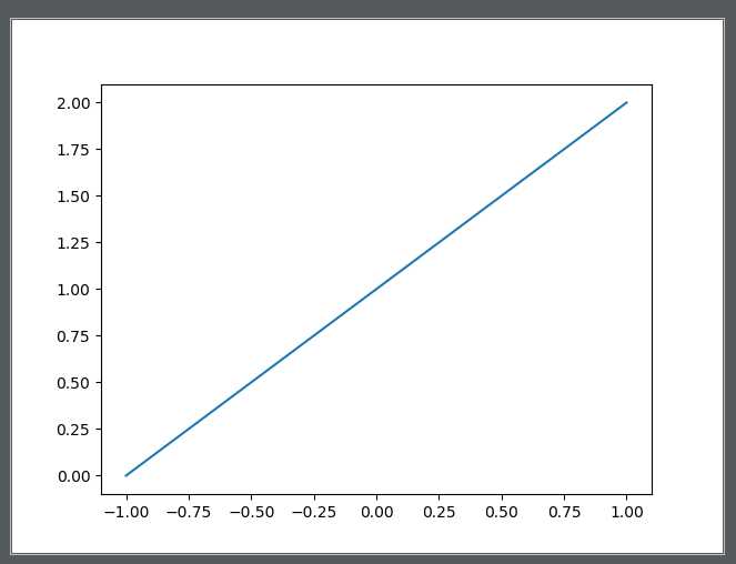
1 import matplotlib.pyplot as plt 2 import numpy as np 3 x = np.linspace(-1, 1, 50) 4 y1 = x + 1 5 plt.plot(x, y1) 6 plt.show()
np.linspace(-1, 1, 50)
从-1到1取50个点,绘制函数y=x+1

import matplotlib.pyplot as plt import numpy as np x1 = np.linspace(-1, 1, 5)
x2 = np.linspace(-1, 1, 50) y1 = x1 * x1
y2 = x2 * x2 plt.plot(x1, y1)
plt.plot(x2, y2) plt.show()
换一个函数,换成y=x*x,可以更直观的感受np.linspace()的第三个参数的作用

np.linspace()第三个参数为5:蓝色
np.linspace()第三个参数为50:红色
2.修改线条的样式
直接在plt.plot()中添加样式
1 import matplotlib.pyplot as plt 2 import numpy as np 3 x1 = np.linspace(-1, 1, 5) 4 x2 = np.linspace(-1, 1, 50) 5 y1 = x1 * x1 6 y2 = x2 * x2 7 plt.plot(x1, y1) 8 plt.plot(x2, y2, color="gray", linewidth=10, linestyle="--") 9 plt.show()
color:颜色
linewidth:线宽
linestyle:线条风格
修改后图像为

3.修改坐标轴
1 import matplotlib.pyplot as plt 2 import numpy as np 3 x1 = np.linspace(-1, 1, 50) 4 y1 = x1 * x1 5 plt.plot(x1, y1) 6 plt.xlim(-1, 10) 7 plt.ylim(-2, 3) 8 9 plt.xlabel("i am x") 10 plt.ylabel("i am y") 11 plt.show()
plt.xlim():x轴的范围
plt.ylim():y轴的范围
plt.xlabel:x轴标注
plt.ylabel:y轴标注

修改坐标轴的数值
1 import matplotlib.pyplot as plt 2 import numpy as np 3 x1 = np.linspace(-1, 1, 50) 4 y1 = x1 * x1 5 plt.plot(x1, y1) 6 plt.xlim(-1, 2) 7 plt.ylim(-2, 3) 8 9 plt.xlabel("i am x") 10 plt.ylabel("i am y") 11 12 new_ticks = np.linspace(-1, 2, 5) 13 plt.xticks(new_ticks) 14 plt.yticks([-2, 0, 2, 3], ["very bad", "just so so", "good", "perfect"]) 15 plt.show()

改变字体,添加特殊符号(注意转义)就不提了