参考资料
【1】 http://blog.csdn.net/google19890102/article/details/27228279
【2】 讲讲共线性问题 http://www.jianshu.com/p/ef1b27b8aee0?from=timeline
【3】 最小二乘法的矩阵形式推导 http://blog.csdn.net/monsterhoho/article/details/46753673
【4】 Spark MLlib 机器学习实践
1、共线性及多重共线性问题
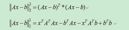
对于最小二乘法,我们有矩阵形式的推导如下:

此时对x求导,有
,得到
。
对于上述解,当x中存在二个或多个线性相关形式,
就会接近于0,造成很大的误差,因此为了解决这个误差我们在代价函数中增加了扰动项,类似矩阵形式变为:

2、岭回归模型
所谓的岭回归就是在线性回归的基础上增加了正则项,通常为lasso回归(L1回归)和岭回归(L2回归)。岭回归公式如下:

3、岭回归Spark Mlib下例子
package com.fredric.spark.lr import org.apache.spark.mllib.linalg.Vectors import org.apache.spark.mllib.regression.{RidgeRegressionWithSGD, LinearRegressionWithSGD, LabeledPoint} import org.apache.spark.{SparkContext, SparkConf} import scala.util.Random /*- * 回归分析 岭回归 * Fredric 2017 */ object lrl2 { def main(args:Array[String]): Unit ={ val conf = new SparkConf().setMaster("local").setAppName("Rr01") val sc = new SparkContext(conf) //以二元线性回归y = 7*x1 + 5*x2 + 3为例,初始化数据 val Array = new Array[LabeledPoint](500) for(t <- 1 to 500){ val random = new Random(); val x1 = random.nextInt(4) + random.nextDouble() val x2 = random.nextInt(3) + random.nextDouble() val y = 7 * x1 + 5 * x2 + (new Random()).nextDouble() + 3 Array(t-1) = new LabeledPoint(y, Vectors.dense(x1, x2, 1)) } val data = sc.makeRDD(Array) //采用岭回归模型 val model = new RidgeRegressionWithSGD() model.optimizer.setNumIterations(100);//迭代100次 val res = model.run(data) //输出结果为 [7.016836776795048,5.045698277235657,3.3398441790354525] println(res.weights) } }