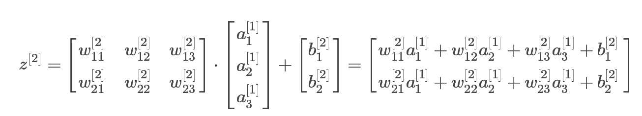
一、前向传播
w 权重
b 偏差
a 输入

一般地,我们可以把前向传播过程表示:

2. 损失函数和代价函数
损失函数主要指的是对于单个样本的损失或误差;
代价函数表示多样本同时输入模型的时候总体的误差——每个样本误差的和然后取平均值。
3. 反向传播
??反向传播的基本思想
就是通过计算输出层与期望值之间的误差来调整网络参数,从而使得误差变小。
4.反向传播原理(四个基础等式)
引入一个中间变量δlj,我们把它叫做网络中第l层第j个神经元的误差。
为第l层第j个神经元添加一个扰动Δz[l]j,使得损失函数或者代价函数变小,那么这就是一个好的扰动。

单样本输入公式
L表示输出层层数。用?L 表示 ?L(a[L],y)

5.多样本输入公式
