1.学习总结

2.PTA实验作业
题目1:7-1 jmu-字符串是否对称
2.2 设计思路(伪代码或流程图)

2.3 代码截图

2.4 PTA提交列表说明

思路没问题,出现了未选择好编译器的问题有点尴尬:(
题目2:7-2 符号配对(20 分)
2.2 设计思路(伪代码或流程图)

2.3 代码截图


2.4 PTA提交列表说明

第一次错误比较严重,代码中大小写的一些变量名称没有注意好导致整个代码变异错误,找了很久没找到推倒重做。
第二次出现了部分匹配问题的遗漏,随后补上。
题目3:表达式转换
2.2 设计思路(伪代码或流程图)

2.3 代码截图

2.4 PTA提交列表说明

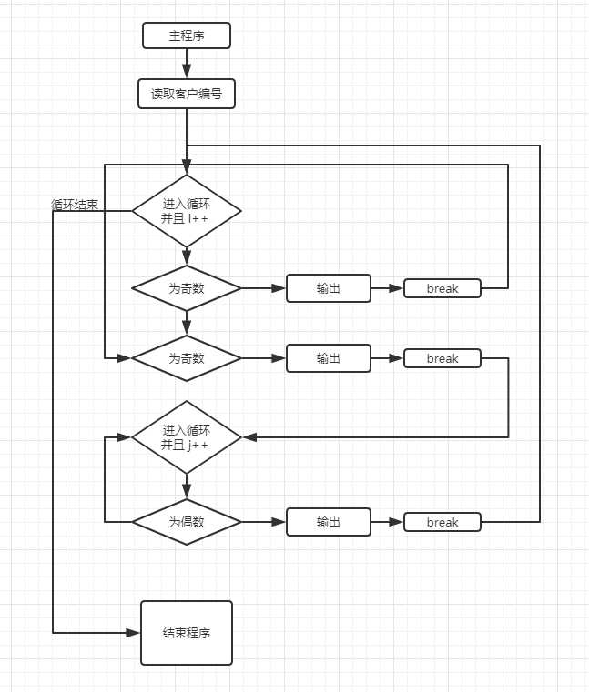
投机取巧了一哈,用两个循环程序来代表A窗口的业务速度比B窗口快一倍,直接循环输出,使用数组即可。
3.截图本周题目集的PTA最后排名
3.1栈PTA排名

3.2队列PTA排名

3.3 我的总分:2.5
4. 阅读代码




地址:https://gitee.com/adressad/codes/9ystlgoh6b413n5vfupa839
功能:实现一个四则运算的计算器
优点:功能上并没有实际优于其他结构的,但是使用栈便携的计算器,可以帮助更深的理解栈的使用。比如优先级的使用、遇到符号优先级的判断等。
5. 代码Git提交记录截图
