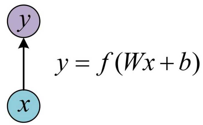
一、单层网络
单层网络就是输入一个x,经过神经元的变换,输出一个y

二、RNN
有很多种序列输入的数据,如:

自然语言处理问题。x1可以看做是第一个单词,x2可以看做是第二个单词,依次类推。
语音处理。此时,x1、x2、x3……是每帧的声音信号。
时间序列问题。例如每天的股票价格等
序列形的数据就不太好用原始的神经网络处理了。为了建模序列问题,RNN引入了隐状态h(hidden state)的概念,h可以保存过去的x中的特征,而不只是保存当前的x


由于h的这种保存性质,输出的y由h得到

原文:https://www.cnblogs.com/mimandehuanxue/p/9057267.html