首页 > 其他 > 详细

BZOJ2428:[HAOI2006]均分数据——题解

时间:2018-06-02 10:54:45      阅读:197      评论:0      收藏:0      [点我收藏+]

https://www.lydsy.com/JudgeOnline/problem.php?id=2428

https://www.luogu.org/problemnew/show/P2503

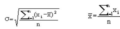
已知N个正整数:A1、A2、……、An 。今要将它们分成M组,使得各组数据的数值和最平均,即各组的均方差最小。均方差公式如下

技术分享图片

 

其中σ为均方差,技术分享图片是各组数据和的平均值,xi为第i组数据的数值和。

我们做过很多类似这样的题,首先将均方差式子展开就会发现答案是小是大只和sigma(xi^2)有关。

所以我们可以dp……等等,貌似这个序列可以任取啊……dp好像做不了。

于是我们乱搞模拟退火,每次对这个序列随机交换两个元素,然后dp check一下ans是否能变小就行了。

dp方程太简单了我就懒得写了。

#include<cmath>
#include<queue>
#include<cstdio>
#include<cctype>
#include<cstdlib>
#include<cstring>
#include<iostream>
#include<algorithm>
using namespace std;
typedef long double dl;
const int N=25;
const dl T=3157;
const dl eps=1e-15;
const dl delta=0.998;
inline int read(){
    int X=0,w=0;char ch=0;
    while(!isdigit(ch)){w|=ch==-;ch=getchar();}
    while(isdigit(ch))X=(X<<3)+(X<<1)+(ch^48),ch=getchar();
    return w?-X:X;
}
int n,m,a[N],s[N],f[N][10];
dl sum,rms,t,ans=9e18;
inline int sigma(int l,int r){
    return (s[r]-s[l-1])*(s[r]-s[l-1]);
}
inline int suan(){
    memset(f,127,sizeof(f));
    for(int i=1;i<=n;i++){
    s[i]=s[i-1]+a[i];
    f[i][1]=sigma(1,i);
    for(int j=2;j<=min(i,m);j++){
        for(int k=1;k<i;k++){
        f[i][j]=min(f[i][j],f[k][j-1]+sigma(k+1,i));
        }
    }
    }
    return f[n][m];
}
void simulate_anneal(){
    t=T;
    while(t>eps){
    int i=rand()%n+1,j=rand()%n+1;
    swap(a[i],a[j]);
    dl nans=suan();
    dl dans=nans-ans;
    if(nans<ans||rand()<exp(-dans/t)*RAND_MAX)ans=nans;
    else swap(a[i],a[j]);
    t*=delta;
    }
}
int main(){
    srand(19260817);
    n=read();m=read();
    for(int i=1;i<=n;i++)a[i]=read(),sum+=a[i];
    simulate_anneal();
    rms=sum/m;
    ans=sqrt((ans-rms*rms*m)/m);
    printf("%.2Lf\n",ans);
    return 0;
}

+++++++++++++++++++++++++++++++++++++++++++

 +本文作者:luyouqi233。               +

 +欢迎访问我的博客:http://www.cnblogs.com/luyouqi233/+

+++++++++++++++++++++++++++++++++++++++++++

BZOJ2428:[HAOI2006]均分数据——题解

原文:https://www.cnblogs.com/luyouqi233/p/9124366.html

(0)
(0)
   
举报
评论 一句话评论(0
关于我们 - 联系我们 - 留言反馈 - 联系我们:wmxa8@hotmail.com
© 2014 bubuko.com 版权所有
打开技术之扣,分享程序人生!