一、实验目的
(1)掌握逻辑覆盖和路径覆盖测试的基本方法
二、实验要求
(1)完成程序的编写
(2)运用逻辑覆盖和基本路径覆盖测试的覆盖准则设计被测程序的测试用例,并运行测试用例检查程序的正确与否
三、实验内容
(1)设计程序的逻辑覆盖测试用例,语句覆盖、条件覆盖、分支覆盖、分支/条件覆盖、条件组合覆盖。
(2)设计程序的基本路径覆盖测试用例(要求绘制控制流图,利用三种方式计算圈复杂度)。
(3)编写程序进行实际测试,并给出测试结果。
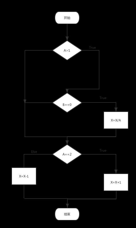
伪代码程序如下:
1 Input(X)
2 If A>1 and B=0 then
3 X=X/A
4 End if
5 If A=2 then
6 X=X+1
7 else
8 X=X-1
9 End if
10 Output(X)
解决方案
流程图

源程序:
import java.util.Scanner;
public class Baihe{
public static void main(String[] args) {
int A=2;
int B=0;
Scanner scan = new Scanner(System.in);
int x1 = scan.nextInt();
if ((A>1)&&(B==0))
{
x1/=A;
}
if (A==2)
{
x1+=1;
}
else
{
x1-=1;
}
System.out.println(x1);
}
}
原文:https://www.cnblogs.com/xinjie57/p/9239677.html