给定一个N叉树,找到其最大深度。
最大深度是指从根节点到最远叶子节点的最长路径上的节点总数。
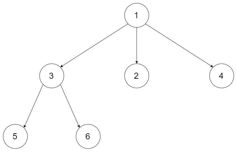
例如,给定一个 3叉树 :

我们应返回其最大深度,3。
说明:
1000。5000。我们可以使用BFS(宽度优先搜索)来求解该问题,思路是这样的,我们一层一层的走,每次走完一层就让树的高度加1,最后无路可走的时候,返回树的高度。
这里涉及三个问题:
我们可以用如下图,来展示深度的求解过程。

package tree;
import java.util.LinkedList;
import java.util.List;
import java.util.Queue;
public class MaxDepth {
public int maxDepth(Node root) {
if(root==null)
return 0;
int height =0;
Queue<Node> queue = new LinkedList<Node>();
queue.add(root);
int size = queue.size();
while (!queue.isEmpty())
{
Node tmp = queue.poll();
for(Node node:tmp.children)
if(node!=null)
queue.add(node);
size--;
if(size==0)
{
size=queue.size();
height++;
}
}
return height;
}
}
// Definition for a Node.
class Node {
public int val;
public List<Node> children;
public Node() {}
public Node(int _val,List<Node> _children) {
val = _val;
children = _children;
}
};
原文:https://www.cnblogs.com/MrSaver/p/9457105.html