首页 > 其他 > 详细

北京54全国80及WGS84坐标系的相互转换

时间:2018-08-25 10:19:35      阅读:263      评论:0      收藏:0      [点我收藏+]

北京54全国80WGS84坐标系的相互转换


这三个坐标系统是当前国内较为常用的,它们均采用不同的椭球基准。其中北京54坐标系,属三心坐标系,大地原点在苏联的普而科沃,长轴6378245m,短轴6356863,扁率1/298.3;


西安80坐标系,属三心坐标系;国家80坐标系,大地原点在陕西省径阳县永乐镇,长轴6378140m,短轴6356755,扁率1/298.25722101;


WGS84坐标系为协议地球坐标参考系,长轴6378137.000m,短轴6356752.314,扁率1/298.257223563。


由于采用不一样的椭球基准,所以转换是不严密的。全国各个地方的转换参数也是不一致的。对于这样的转换一般选用七参数法,即X平移,Y平移,Z平移,X旋转,Y旋转,Z旋转,尺度变化K。


如果区域范围不大,最远点间的距离小于30Km(经验值),这可以用三参数,即X平移,Y平移,Z平移,而将X旋转,Y旋转,Z旋转,尺度变化K视为0,所以三参数只是七参数的一种特例。


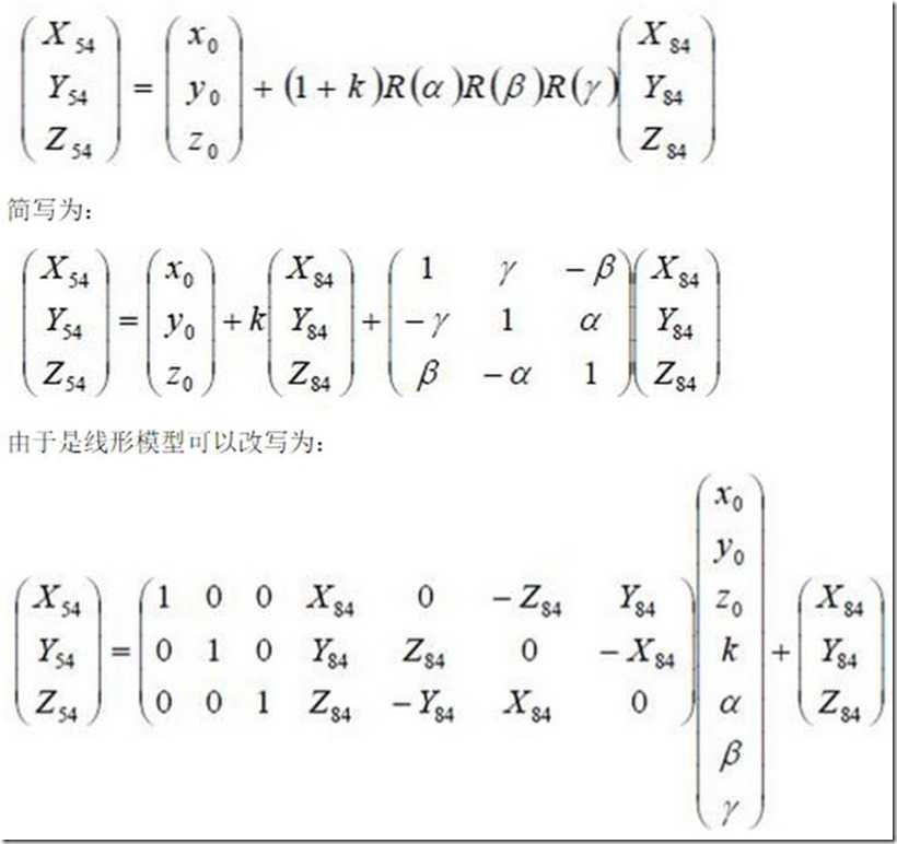
要求得七参数就需要在一个地区至少3个重合点(即为在两坐标系中坐标均为已知的点,采用布尔莎模型进行求解。一般我们将gps测量的WGS84坐标(X84,Y84,Z84)通过空间转换模型,将其转换为地方坐标系的空间直角坐标例如北京54(X54,Y54,Z54)。


其布尔莎7参数转换模型为


技术分享图片


技术分享图片

北京54全国80及WGS84坐标系的相互转换

原文:https://www.cnblogs.com/gispathfinder/p/9532851.html

(0)
(0)
   
举报
评论 一句话评论(0
关于我们 - 联系我们 - 留言反馈 - 联系我们:wmxa8@hotmail.com
© 2014 bubuko.com 版权所有
打开技术之扣,分享程序人生!