题意:n个数,任取三个加起来,问每个可能的结果的方案数。
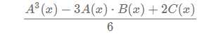
题解:构造母函数ABC,比如现在有 1 2 3 三个数。则


其中B表示同一个数加两次,C表示用三次。然后考虑去重。
A^3表示可重复地拿三个。(无顺序)
然后我们去掉拿了两个相同的方案A*B,由于有三种顺序(xxy,xyx,yxx) 所以*3
最后再加上多减了的 拿三个相同的的方案C,一共减了三次,多减了两次所以*2
最后除以3*2*1去掉顺序

然后fft即可
坑:数据有负数,所以读入需要+2e4预处理trk,最后减去6e4,因为每一项都是三次方,显然这样可以得到正确结果
#include <cstdio> #include <cmath> #include <complex> #include <algorithm> #include <iostream> using namespace std; typedef std::complex<double> complex_t; const int badass=6e4; const int MaxL = 18, MaxN = 1 << MaxL; typedef complex<double> complex_t; complex_t A[MaxN], B[MaxN], C[MaxN]; complex_t eps[MaxN], inv_eps[MaxN]; void init_eps(int p) { double pi = acos(-1); //double angle = 2.0 * pi / p; for (int i = 0; i != p; ++i) eps[i] = complex_t(cos(2.0 * pi * i / p), sin(2.0 * pi * i / p)); for (int i = 0; i != p; ++i) inv_eps[i] = conj(eps[i]); } void transform(int n, complex_t *x, complex_t *w) { for (int i = 0, j = 0; i != n; ++i) { if (i > j) std::swap(x[i], x[j]); for (int l = n >> 1; (j ^= l) < l; l >>= 1); } for (int i = 2; i <= n; i <<= 1) { int m = i >> 1; for (int j = 0; j < n; j += i) { for (int k = 0; k != m; ++k) { complex_t z = x[j + m + k] * w[n / i * k]; x[j + m + k] = x[j + k] - z; x[j + k] += z; } } } } int main() { int n, max_v = 0; std::scanf("%d", &n); for (int i = 0; i != n; ++i) { int v; std::scanf("%d", &v);v+=2e4; A[v] += 1.0; B[v * 2] += 1.0; C[v * 3] += 1.0; if (v * 3 > max_v) max_v = v * 3; } int m = 1; while (m < max_v) m <<= 1;//m<<=1; init_eps(m); transform(m, A, eps); transform(m, B, eps); for (int i = 0; i != m; ++i) A[i] = A[i] * A[i] * A[i] / 6.0 - A[i] *B[i] / 2.0 ; transform(m, A, inv_eps); for (int i = 0; i != m; ++i) A[i] = A[i] / double(m) + C[i] / 3.0; for (int i = 0; i != m; ++i) { int x = int(A[i].real() + 0.5); if (x) std::printf("%d : %d\n", i-badass, x); } return 0; } /* 5 -1 2 3 0 5 */
原文:https://www.cnblogs.com/SuuT/p/9584925.html