服务器中的数据库
Redis服务器将所有数据库都保存在服务器状态redis.h/redisServer结构体的db数组中,db数组的每个项都是一个redis.h/redisDb结构体,每个redisDb结构体代表一个数据库
redis.h
struct redisServer {
……
//一个数组,保存着服务器中所有数据库
redisDb *db;
……
};
在初始化服务器时,程序会根据服务器状态的dbnum属性来决定应该创建多少个数据库:
redis.h
struct redisServer {
……
//服务器的数据库数量
int dbnum;
……
};
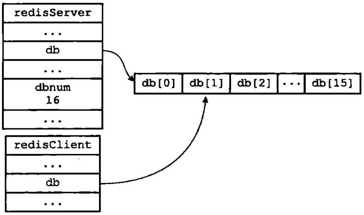
dbnum属性由服务器配置的database选项决定,默认情况下,该选项的值为16,所以Redis服务器默认会创建16个数据库,如图1-1所示

图1-1 服务器数据库示例
切换数据库
每个Redis客户端都有自己的目标数据库,每当客户端执行数据库写命令或者数据库读命令的时候,目标数据库就会成为这些命令的操作对象。默认情况下,Redis客户端的目标数据库为0号数据库,但客户端可以通过执行SELECT命令来切换目标数据库。以下代码示例演示了客户端在0号数据库设置并读取键msg,之后切换到2号数据库并执行类似操作的过程:
127.0.0.1:6379> SET msg "hello world" OK 127.0.0.1:6379> GET msg "hello world" 127.0.0.1:6379> SELECT 2 OK 127.0.0.1:6379[2]> GET msg (nil) 127.0.0.1:6379[2]> SET msg "another world" OK 127.0.0.1:6379[2]> GET msg "another world"
在服务器内部,客户端状态redisClient结构的db属性记录了客户端当前的目标数据库,这个属性是一个指向redisDb结构的指针:
redis.h
typedef struct redisClient {
……
//记录客户端当前正在使用的数据库
redisDb *db;
……
} redisClient;
redisClient.db指针指向redisServer.db数组的其中一个元素,而被指向的元素就是kehudu你的目标数据库。如果某个客户端的目标数据库为1号数据库,那么这个客户端所对应的客户端状态和服务器状态之间的关系如图1-2所示

图1-2 客户端的目标数据库为1号数据库
如果这时客户端执行命令SELECT 2,将目标数据库改为2号数据库,那么客户端的状态和服务器之间的关系将更新到如图1-3

图1-3 客户端的目标数据库为2号数据库
通过修改redisClient.db指针,让它指向服务器中的不同数据库,从而实现切换目标数据库的功能,这就是SELECT命令的实现原理
数据库键空间
Redis是一个键值对数据库服务器,服务器中的每个数据库都由redis.h/redisDb结构体表示,其中,redisDb结构体的dict字典保存了数据库中的所有键值对,我们将这个字典称为键空间
redis.h
typedef struct redisDb {
//数据库键空间,保存着数据库中所有键值对
dict *dict;
……
} redisDb;
键空间和用户所见的数据库是直接对应的:
举个栗子,如果我们在空白的数据库中执行以下命令:
127.0.0.1:6379> SET message "hello world" OK 127.0.0.1:6379> RPUSH alphabet "a" "b" "c" (integer) 3 127.0.0.1:6379> HSET book name "Redis in Action" (integer) 1 127.0.0.1:6379> HSET book author "Josiah L. Carlson" (integer) 1 127.0.0.1:6379> HSET book publisher "Manning" (integer) 1
那么在这些命令之后,数据库键空间将会是图1-4所展示的样子:

图1-4 数据库键空间例子
因为数据库的键空间是一个字典,所以所有针对数据库的操作,比如添加一个键值对到数据库,或者从数据库中删除一个键值对,又或者在数据库中获取某个键值对等,实际上都是通过对键空间字典进行操作来实现,以下几个小节将分别介绍数据库的增删改查操作的实现原理
添加新键
添加一个新的键值对到数据库,实际上就是将一个新的键值对添加到键空间字典中,其中键为字符串对象,而值可以是任意一种类型的Redis对象。举个栗子,如果键空间当前的状态如图1-4所示,那么在执行以下命令后:
127.0.0.1:6379> SET date "2013.12.1" OK
键空间将添加一个新的键值对,这个新键值对的键是一个包含字符串"date"的字符串对象,而值对象则是一个包含字符串"2013.12.1"的字符串对象,如图1-5所示

图1-5 添加date键之后的键空间
删除键
删除数据库中的一个键,实际上就是在键空间删除一个键值对对象。举个栗子,如果键空间当前的状态如1-4所示,那么执行以下命令后:
127.0.0.1:6379> DEL book (integer) 1
键book以及它的值将从键空间中被删除,如图1-6所示

图1-6 删除book键之后的键空间
更新键
对一个数据库键进行更新,实际上就是对键空间里面键所对应的值对象进行更新,根据值对象的类型不同,更新的具体方法也会有所不同。举个例子,如果键空间当前状态如图1-4所示,那么在执行以下命令后:
127.0.0.1:6379> SET message "blah blah" OK
键message的值对象将从之前包含"hello world"字符串更新为"blah blah"字符串,如图1-7所示

图1-7 使用SET命令更新message键
再举个例子,如果我们继续执行以下命令:
127.0.0.1:6379> HSET book page 320 (integer) 1
那么键空间中book键的值对象(一个哈希键)将被更新,新的键值对page和320会被添加到值对象中,如图1-8所示

图1-8 使用HSET更新book
对键取值
对一个数据库键进行取值,实际上就是在键空间中取出键所对应的值对象,根据值对象的类型不同,具体的取值方法也会有所不同。举个栗子,如果键空间当前的状态如图1-4所示,那么当执行以下命令时:
127.0.0.1:6379> GET message "hello world"
GET命令将首先在键空间中查找键message,找到键之后接着取得该键所对应的字符串对象值,之后再返回值对象所包含的字符串"hello world",取值过程如图1-9所示

图1-9 使用GET命令取值的过程
再举个例子,当执行以下命令时:
127.0.0.1:6379> LRANGE alphabet 0 -1 1) "a" 2) "b" 3) "c"
LRANGE命令将首先在键空间查找键alphabet,找到键之后接着取得该键所对应的列表对象值,之后再返回列表对象中包含的三个字符串对象的值,取值过程如图1-10所示

图1-10 使用LRANGE命令取值的过程
其他键空间操作
除了上面列出的添加、删除、更新、取值操作外,还有很多针对数据库本身的Redis命令,也是通过对键空间进行处理来完成的。比如说,用于清空整个数据库的FLUSHDB命令,就是通过删除键空间中的所有键值对来实现的。又比如说,用于随机返回数据库中某个键的RANDOMKEY命令,就是通过在键空间中随机返回一个键来实现的。另外,用于返回数据库键数量的DBSIZE命令,就是通过返回键空间中包含的键值对的数量来实现的。类似还有EXISTS、RENAME、KEYS等,这些命令都是通过对键空间进行操作来实现的
读写键空间的维护操作
当使用Redis命令对数据库进行读写时,服务器不仅会对键空间执行指定的读写操作,还会执行一些额外的维护操作,其中包括:
原文:https://www.cnblogs.com/beiluowuzheng/p/9738159.html