不知道这个东西是不是只会用这一次,反正搞清楚了,就留下来吧。
参考文献:https://en.wikipedia.org/wiki/Log-normal_distribution
https://blog.csdn.net/Eric2016_Lv/article/details/53286434
在概率论中,对数正态分布是一种连续概率分布,其随机变量的对数服从正态分布。

对数正态分布图
wiki原话:
A log-normal process is the statistical realization of the multiplicative product of many independent random variables, each of which is positive. This is justified by considering the central limit theorem in the log domain. The log-normal distribution is the maximum entropy probability distribution for a random variate X for which the mean and variance of ln(X) are specified.
The log-normal distribution is important in the description of natural phenomena. This follows, because many natural growth processes are driven by the accumulation of many small percentage changes. These become additive on a log scale. If the effect of any one change is negligible, the central limit theorem says that the distribution of their sum is more nearly normal than that of the summands. When back-transformed onto the original scale, it makes the distribution of sizes approximately log-normal (though if the standard deviation is sufficiently small, the normal distribution can be an adequate approximation).
If the rate of accumulation of these small changes does not vary over time, growth becomes independent of size. Even if that‘s not true, the size distributions at any age of things that grow over time tends to be log-normal.
我的理解是:从统计学角度理解对数正态分布是这样的,在自然界有很多事物有增长速度很慢,甚至可以忽略不计(small percentage changes),但是其效果是对整个事物的影响,即每次增长都是对前面增长的乘积运算,但如果我们把他放入对数域,则可以放大他们的增长效果。
假设:x1,x2,...,xk表示第i个单位时间的单位增长率,则x1,x2,...xk大于等于0,令zi=log(xi)表示xi的对数
显然有:

因为x1,x2,...xk独立同分布,显然z1,z2...zk也是独立同分布,则根据中心极限定理(当样本量足够大时,样本均值的分布(变量和的分布)慢慢变成正态分布)有:

这也就符合上面wiki第一段的意思了吧。其中一个典型的例子是股票投资的长期收益率,它可以看作是每天收益率的乘积(虽然他不是自然界的)。
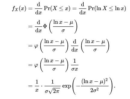
对数正态分布的概率密度函数为:

期望值和方差分别为:


其中,μ和σ分别是变量对数的平均值和标准差。 而对于参数μ和σ可以用极大使然估计来求解:


原文:https://www.cnblogs.com/SsoZhNO-1/p/9857836.html