题目链接:http://acm.hdu.edu.cn/showproblem.php?pid=5950
Farmer John likes to play mathematics games with his N cows. Recently, they are attracted by recursive sequences. In each turn, the cows would stand in a line, while John writes two positive numbers a and b on a blackboard. And then, the cows would say their identity number one by one. The first cow says the first number a and the second says the second number b. After that, the i-th cow says the sum of twice the (i-2)-th number, the (i-1)-th number, and $i^4$. Now, you need to write a program to calculate the number of the N-th cow in order to check if John’s cows can make it right.
Input
The first line of input contains an integer t, the number of test cases. t test cases follow.
Each case contains only one line with three numbers N, a and b where $N,a,b < 2^31$ as described above.
Output
For each test case, output the number of the N-th cow. This number might be very large, so you need to output it modulo $2147493647$.
Sample Input
2
3 1 2
4 1 10
Sample Output
85
369
Hint
In the first case, the third number is $85 = 2 \times 1 + 2 + 3^4$.
In the second case, the third number is $93 = 2 \times 1 + 1 \times 10 + 3^4$ and the fourth number is $369 = 2 \times 10 + 93 + 4^4$.
题意:
给出 $a,b,n$,已知 $a_1 = a, a_2 = b$,且对于 $i>2$ 的 $a_i = 2a_{i-2} + a_{i-1} + i^4$,求 $a_n$。
题解:
看一眼 $n$ 最大在 $2e9$,显然不是暴力的递推。考虑矩阵快速幂加速递推。
不妨设一个矩阵
![]()
那么就有
![]()
我们只要求出一个矩阵 $A$,使其满足 $F(n+1) = F(n) \times A$,就能进行矩阵快速幂加速递推。
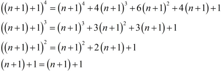
根据二项式定理很容易得到

因此不难就求得满足 $F(n+1) = F(n) \times A$ 矩阵 $A$ 如下:

此时,对于任意的 $F(n)$,都可以由 $F(n) = F(2) \times A^{n-2}$ 求得,$A^{n-2}$ 用矩阵快速幂可以 $O(\log n)$ 求出。
AC代码:
#include<bits/stdc++.h> using namespace std; typedef long long ll; const ll mod=2147493647; const int DIM=7; struct Matrix { ll mat[DIM][DIM]; Matrix operator*(Matrix const &oth)const { Matrix res; memset(res.mat,0,sizeof(res.mat)); for(int i=0;i<DIM;i++) for(int j=0;j<DIM;j++) for(int k=0;k<DIM;k++) res.mat[i][j]+=(mat[i][k]*oth.mat[k][j])%mod, res.mat[i][j]%=mod; return res; } }A,F2,Fn; Matrix fpow(Matrix base,ll n) { Matrix res; memset(res.mat,0,sizeof(res.mat)); for(int i=0;i<DIM;i++) res.mat[i][i]=1; while(n) { if(n&1) res=res*base; base=base*base; n>>=1; } return res; } void initA() { A.mat[0][0]=0, A.mat[0][1]=2, A.mat[0][2]=0, A.mat[0][3]=0, A.mat[0][4]=0, A.mat[0][5]=0, A.mat[0][6]=0; A.mat[1][0]=1, A.mat[1][1]=1, A.mat[1][2]=0, A.mat[1][3]=0, A.mat[1][4]=0, A.mat[1][5]=0, A.mat[1][6]=0; A.mat[2][0]=0, A.mat[2][1]=1, A.mat[2][2]=1, A.mat[2][3]=0, A.mat[2][4]=0, A.mat[2][5]=0, A.mat[2][6]=0; A.mat[3][0]=0, A.mat[3][1]=0, A.mat[3][2]=4, A.mat[3][3]=1, A.mat[3][4]=0, A.mat[3][5]=0, A.mat[3][6]=0; A.mat[4][0]=0, A.mat[4][1]=0, A.mat[4][2]=6, A.mat[4][3]=3, A.mat[4][4]=1, A.mat[4][5]=0, A.mat[4][6]=0; A.mat[5][0]=0, A.mat[5][1]=0, A.mat[5][2]=4, A.mat[5][3]=3, A.mat[5][4]=2, A.mat[5][5]=1, A.mat[5][6]=0; A.mat[6][0]=0, A.mat[6][1]=0, A.mat[6][2]=1, A.mat[6][3]=1, A.mat[6][4]=1, A.mat[6][5]=1, A.mat[6][6]=1; } ll n,a,b; int main() { ios::sync_with_stdio(0); cin.tie(0); initA(); int T; cin>>T; while(T--) { cin>>n>>a>>b; if(n==1) { cout<<a<<‘\n‘; continue; } if(n==2) { cout<<b<<‘\n‘; continue; } memset(F2.mat,0,sizeof(F2.mat)); memset(Fn.mat,0,sizeof(Fn.mat)); F2.mat[0][0]=a, F2.mat[0][1]=b, F2.mat[0][2]=3*3*3*3, F2.mat[0][3]=3*3*3, F2.mat[0][4]=3*3, F2.mat[0][5]=3, F2.mat[0][6]=1; Fn=F2*fpow(A,n-2); cout<<Fn.mat[0][1]<<‘\n‘; } }
HDU 5950 - Recursive sequence - [矩阵快速幂加速递推][2016ACM/ICPC亚洲区沈阳站 Problem C]
原文:https://www.cnblogs.com/dilthey/p/9945679.html