假设函数:

(1)

(4)
表示第i个样本的第j个属性的取值。
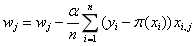
的更新方式为:
(5)
(6)
(7)
是其真实值,
是这个样本的第j个属性
(8)logistic回归算法的损失函数:binary_crossentropy(二元交叉熵)
原文:https://www.cnblogs.com/sunrise-keephungary/p/10056027.html