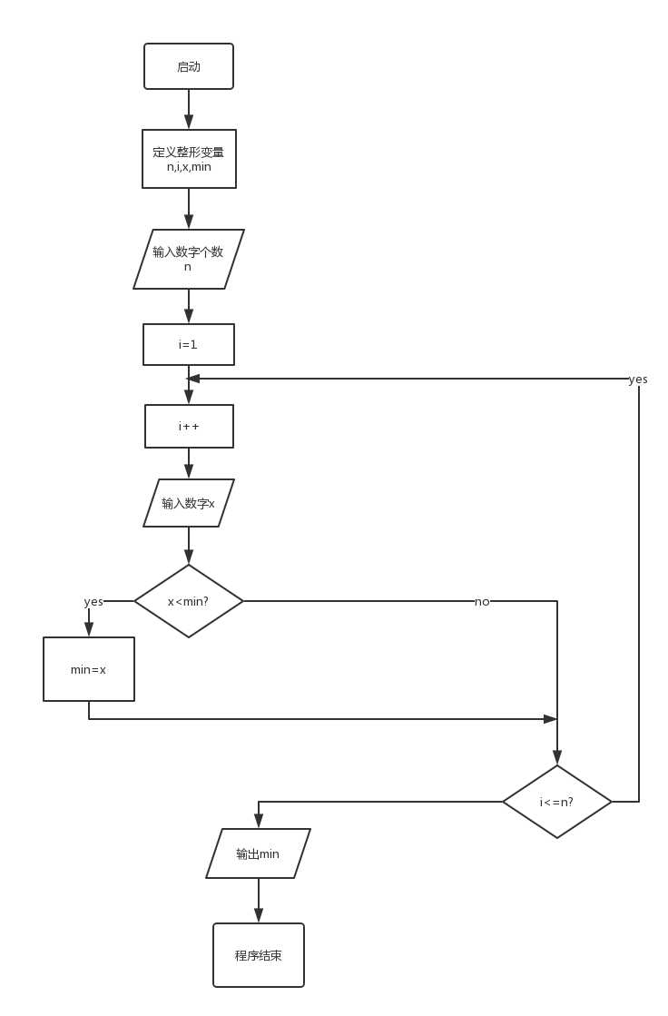
1.代码
#include<stdio.h> int main(void) { int n,i,x,min; scanf("%d",&n); for(i=1;i<=n;i++){ scanf("%d",&x); if(x<=min){ min=x; } } printf("min = %d",min); return 0; }
2.设计思路
a:利用量的重复赋值来进行获得最小值
b:利用循环语句来寻找最小值
3.流程图
调试过程中遇到的问题以及解决办法
a。编译时少加了分行符;

b。数组越界(输入函数少加了&
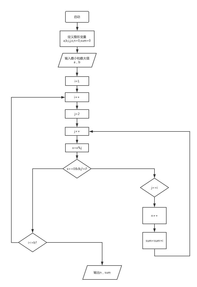
1.代码
#include<stdio.h> int main(void) { int a,b,i,j,x,n=0,sum=0; scanf("%d %d",&a,&b); for(i=a;i<=b;i++){ for(j=2;j<=i;j++){ x=i%j; if(x==0&&j!=i){ break; }else if(j==i){ n++; sum=sum+i; } } }printf("%d %d",n,sum); return 0; }
2.设计思路
a。明确素数的计算方式
b.明确题目所说的意思
3.流程图
4.遇到的问题
a.j的初始值为1导致PTA中答案错误(应该从2开始进行嵌套循环否则会导致不必要的运行时间)
总结学习进度:
更好的掌握了对于嵌套循环的使用以及其表示方法,更深刻的了解了避免不必要的运行时间的必要性以及重要性,知道了编写程序是应该要严谨一丝不苟
点评同学
代码数量折线图
原文:https://www.cnblogs.com/louzhe/p/10090501.html