首页 > 其他 > 详细

MT【270】含参绝对值函数最大之二

时间:2018-12-12 17:16:14      阅读:223      评论:0      收藏:0      [点我收藏+]

已知$f(x)=2ax\cos^2x+(a-1)\cos x-1,a>0$,记$|f(x)|$的最大值为$A$,
1)求A.
2)证明:$|-2a\sin 2x+(1-a)\sin x|\le 2A$

技术分享图片

分析:(1)

技术分享图片

技术分享图片技术分享图片

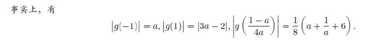
(2)

技术分享图片

 

注:第一题做法一般是分类讨论,这里通过图像可以化简计算,老实讨论可以参考这题

 

MT【270】含参绝对值函数最大之二

原文:https://www.cnblogs.com/mathstudy/p/10109189.html

(0)
(0)
   
举报
评论 一句话评论(0
关于我们 - 联系我们 - 留言反馈 - 联系我们:wmxa8@hotmail.com
© 2014 bubuko.com 版权所有
打开技术之扣,分享程序人生!