一个栗子
数据:工资和房屋面积(2个特征)
目标:预测银行会贷款给我多少钱(标签)
考虑:工资和房屋面积都会影响最终银行贷款的
结果那么它们各自有多大的影响呢?(参数)
| 姓名 | 工资(元) | 房屋面积(平方米) | 可贷款金额(元) |
|---|---|---|---|
| 张三 | 6000 | 58 | 30000 |
| 李四 | 9000 | 77 | 55010 |
| 王五 | 11000 | 89 | 73542 |
| 陆永剑 | 15000 | 54 | 63201 |
通俗解释
X1,X2就是我们的两个特征(年龄,房屋面积)Y是银行最终会借给我们多少钱
找到最合适的一条线(想象一个高维)来最好的拟合我们的数据点

假设
是年龄的参数,
是房屋面积的参数
拟合的平面:
(
是偏置项)
整合:
真实值和预测值之间肯定是要存在差异的(用
来表示该误差)
对于每个样本![]()
误差
是独立并且具有相同的分布,并且服从均值为0方差为
的高斯分布
独立:张三和李四一起来贷款,他俩没关系
同分布:他俩都来得是我们假定的这家银行
高斯分布:银行可能会多给,也可能会少给,但是绝大多数情况下
这个浮动不会太大,极小情况下浮动会比较大,符合正常情况

预测值与误差: ![]()
由于误差服从高斯分布: ![]()
带入:
高斯分布的积分为1,所以可以把闭区间的面积看作概率,中间区域的面积最大,说明值落在中间的概率大,由图可知,有大概率的点是落在x=0附近的,高斯分布的纵坐标无实际意义,纵坐标的值与方差θ的平方有关,θ越大,表示样本的震荡幅度越大(不会密集的分布在0附近),那么图像就越矮,纵坐标越小。


目的:计算出什么样的参数θ和我们的数据(x,y)组合之后,能满足我们的真实值
形象理解:比如说我们掷硬币,掷了十次,结果是九次正面朝上,一次反面朝上,那么认为下一次正面朝上的概率θ就是90%;
似然函数就是用结果(或样本)(9正,1负的数据)来推算参数(weight权重、概率),也就是说通过参数θ得到的预测的算法,能够尽可能地拟合样本数据(已知结果),从而最大化的使得预测结果更偏向于真实数据。
似然函数说白了就是结果导向,由已知结果来推算出预测参数θ,因为结果已经发生了,那么概率p(y|x;θ)肯定是取最大的!
最大似然估计,英文名是 maximum likelihood estimation, MLE,最大的可能性估计,这里的可能性 我理解为预测参数与样本中的x结合,使得样本结果y发生的概率
*从公式的角度理解:
我们追求的目标是预测值与实际值越接近越好,那么换句话说就是希望误差ε越小越好,甚至接近于零。
前面解释了似然函数是用数据来推算参数,通俗的说,我们用结果来计算参数值,而我们想要的结果是预测值=实际值,即ε->0,ε的取值处于0的附近;那么也就是说p(ε)的值要越大越好(前面解释过了,概率越大,ε的分布越是集中在0附近)
我们也知道,p(ε)的值和p(y|x;θ)的值是相等的,那么(p(y|x;θ)的概率也是越大越好。
那么为什么极大似然函数是一个累乘的概率积呢,因为一个单独的似然函数,概率最大时解出的θ是最满足那一个样本的参数θ,而我们的目标是要训练出一个拟合全部样本数据的θ,那么我们就不得不用累乘,来求一个联合概率密度,这个值最大时,表示 θ 使得样本集中预测值与真实值的偏差是最小的!
对数似然:


解释:乘法难解,加法就容易了,对数里面乘法可以转换成加法
展开化简:



目标:让似然函数(对数变换后也一样)越大越好

(最小二乘法)
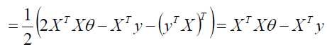
目标函数:
求偏导:


偏导等于0:
原文:https://www.cnblogs.com/lijie-blog/p/10199261.html