前置知识
??矩阵的逆
知识地图

??首先我们将了解一种叫升维的方法,用已有特征构造更多的特征。接着通过对空间与投影建立一定的概念后,推导出最小二乘法。
当特征数量不足时
??在上一篇《初识线性回归》中,我们假设要处理的问题有足够的样本数量和足够的特征数量。记得样本数量是用m表示,特征数量是用n表示。假如只有1个特征该如何构建模型呢?
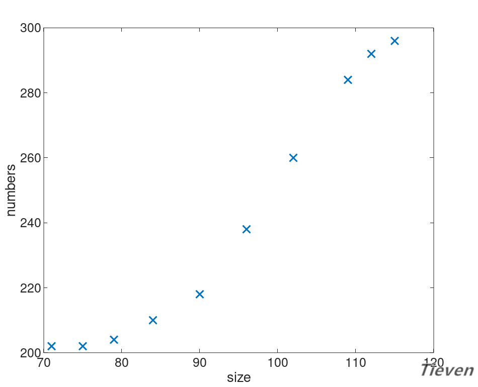
??假设现在有一个数据集,数据集中只包含一个地区房屋的面积信息和销售情况。即只有面积这一个特征,如何只用一个特征来预测房屋的销售情况呢?

??可视化能帮助我们更好地了解数据间隐藏的规律,先来看一看数据之间的分布情况。

??用什么模型可以比较好地拟合数据呢?首先尝试用一条直线来拟合数据,构建一个线性模型:

关于常数项的说明
??还记得在上一篇中讲过,线性回归模型中需要在特征中手动添加一列全为1的特征。这是为什么呢?这是一个很小的但不理顺却很容易混淆的概念,值得反复强调。
??我们熟悉的直线公式是以下形式:

??其中a为系数,x为变量,b为常数项。常数项是用来控制直线的位置,如果没有常数项,直线会是经过原点的一条线。显然有了常数项的模型可以更好地拟合数据。
??假设函数是直线的另一种表达方式,两者是完全等价的。在直线中b是常数项,在假设函数中第一个θ参数是常数项。常数项乘以1等于本身,如下图所示。

??常数项为什么要乘以1呢?因为在实际的运用中,是将参数θ视为一个向量进行运算。特征中添加全为1的一列后,可以使用向量化的方式来运算,提高了效率。

以一个特征为例
??原始数据集中特征是不包含全为1的列,将原始数据集传入函数后,在函数中额外为特征添加全为1的列,在函数中转换后的形式如下:

??设置学习率为0.1,迭代次数为500次。经过特征缩放,训练后得到的参数如下,其中参数的第一项可以视为常数项:

??对应的假设函数与代价函数如下:

??我们发现直线似乎不能很好地揭示数据之间存在的规律,但是现在又没有更多的特征,该怎么办呢?可以用特征的平方作为新的特征添加进数据集中。

??这个模型可以视为非线性模型,同样也可以通过线性回归算法来处理,在函数中转换后的数据集的形式如下:

??增加更多的特征以后,模型会不会有更好的表现呢?
??设置学习率为0.1,迭代次数为500次。经过特征缩放,训练后得到的参数如下,其中参数的第一项可以视为常数项:

??对应的假设函数与代价函数如下:

??似乎并没有太大的改变?试试其他的学习率。
??设置学习率为1,迭代次数为500次。经过特征缩放,训练后得到的参数如下,其中参数的第一项可以视为常数项:

??对应的假设函数与代价函数如下:

升维的方法与局限
??可以观察到相比于直线,新的模型可以更好地拟合数据,或许也能更准确的用于预测新的数据。至此可以总结出以下两点结论:
??1,学习率需要手动调整,这实在是太不智能了,以后我们将了解不需要手动设置学习率的方法。
??2,用现有特征的2次方,3次方,4次方......来构造新的特征,可能会得到更准确的模型。
??推而广之,有一个特征的时候,可以用特征的高次方构造新的特征:

??推而广之,有多个特征的时候,可以用特征的高次方的组合构造新的特征:

??需要注意的是,虽然用升维的方法可以构造新的特征,但是我们不想频繁地使用这种方法。如果缺少特征,首先应该想办法获取新的特征。相比于人工创造的特征,现实的特征或许会更好一些。
??比如我们有一个房子宽度的特征,和一个房子长度的特征。两者可以组合出房子面积的特征,这显然是有意义的。但是再添加面积的10次方作为新的特征,似乎失去了现实的意义,变成纯粹的数字。
一维空间与投影
??一个向量x可以构建一维空间(一条直线),另一个向量y与一维空间可以有以下几种关系:
??1,当向量y垂直一维空间时(内积为0),向量y在一维空间上的投影为0,对应的方程组无解。通过向量x无论如何也无法获得向量y。

??2,当向量y平行一维空间时,向量y在一维空间上的投影为向量本身,对应的方程组有解。在向量x上乘以某一个系数可以获得向量y。

??3,当向量y与一维空间即不平行也不垂直时,向量y在一维空间上存在投影,对应的方程组无解,但存在能够得到的最优解。在向量x上乘以某一个系数,不能得到全部的向量y,但可以得到部分的向量y。

??如上图所示,向量e是误差向量,向量p是投影向量。因为向量y不在一维空间中,只能得到向量y的投影向量。类似于有人告诉你,你得不到最好的,那么现实的问题是,第二好的是什么呢?
??投影向量p是我们能得到的第二好的向量,问题转变为如何使投影向量p最大化?向量y可以分解为投影向量p与误差向量e的组合,当误差向量e最小化的时候,投影向量p最大化。
??什么情况下误差向量e最小化?当误差向量e垂直一维空间时最小化,此时有投影向量p最大化。已知两个垂直的向量内积为0,根据这一点可以建立等式。

??注:此时的θ是一个标量;
二维空间与投影
??两个不在同一条直线的向量可以构建二维空间(一个平面),这两个向量称为基向量,另一个向量y与二维空间可以有以下几种关系:
??1,当向量y垂直二维空间时,向量y在二维空间上的投影为0。

??2,当向量y平行二维空间时,向量y在二维空间上的投影为向量本身。

??3,当向量y与二维空间即不平行也不垂直时,向量y在二维空间上存在投影,对应的方程组无解,但存在能够得到的最优解。在基向量上分别乘以某一个系数,不能得到全部的向量y,但可以得到部分的向量y。

??与之前类似,误差向量e同时垂直于基向量。已知两个垂直的向量内积为0,根据这一点可以建立等式。

??上述是已知的信息。

??以上等式可以写为矩阵的形式。

??X是基向量构成的矩阵,当矩阵可逆时,可写为如下形式。

最小二乘法
??推而广之无论是2维空间,3维空间还是m维空间,道理都是一样的。如果向量不在空间内,我们只能得到向量在空间内的投影,这种获得投影的方法称为最小二乘法。
??投影是基向量的线性组合,所谓能得到的最优解,是指这个线性组合的系数。当矩阵可逆时,通过上述公式可以直接求出系数。

??回顾《初识线性回归》中的例子,如今我们可以从一个新的视角来看问题,矩阵X有4个线性无关的基向量,构成完整的4维空间,向量y在空间中,用最小二乘法求出最优解。

??通常数据集中样本的数量m是远远大于特征的数量n,如下图所示。

??矩阵X有n个线性无关的基向量,构成m维空间中的n维子空间,无论向量y是否在子空间内,都可以使用最小二乘法求出能得到的最优解。
??因为最小二乘法中需要对矩阵进行求逆运算,比较消耗计算资源。当我们的样本数量比较大时,比如有10万个,100万个,1000万个样本,可能就无法通过这种方法来直接计算结果。
??因此什么情况下使用最小二乘法,什么情况下使用梯度下降法,只能根据具体情况具体分析,没有一定之规。至此,我们已经掌握了求解线性回归的第二种方法。
总结
??升维是用现有特征构造更多特征的方法,特征相乘可能具有某种意义,比如已知房屋的长度和宽度可以组合出表示面积的特征。类似的,也可以将特征进行相除。
??通过从空间的角度来看待矩阵,理解投影与方程组的解之间的联系。在矩阵可逆的情况下,可以通过最小二乘法获得投影,同时也就得到了线性回归的最优解。
??虽然线性回归还有部分内容没有介绍,至少目前我们对什么是算法,算法如何工作有了感性的认识。马上,我们就能掌握第二个用于分类的算法,这将是我们接下来的旅程。
非正规代码


版权声明
??1,本文为原创文章,未经作者授权禁止引用、复制、转载、摘编。
??2,对于有上述行为者,作者将保留追究其法律责任的权利。
Tieven
2019.1.5
tieven.it@gmail.com
原文:https://www.cnblogs.com/tieven/p/10280102.html