/*
* 冒泡排序
*/
public class BubbleSort {
public static void main(String[] args) {
int[] arr={6,3,8,2,9,1};
System.out.println("排序前数组为:");
for(int num:arr){
System.out.print(num+" ");
}
for(int i=0;i<arr.length-1;i++){//外层循环控制排序趟数
for(int j=0;j<arr.length-1-i;j++){//内层循环控制每一趟排序多少次
if(arr[j]>arr[j+1]){
int temp=arr[j];
arr[j]=arr[j+1];
arr[j+1]=temp;
}
}
}
System.out.println();
System.out.println("排序后的数组为:");
for(int num:arr){
System.out.print(num+" ");
}
}
}
时间复杂度计算
冒泡排序的优点:每进行一趟排序,就会少比较一次,因为每进行一趟排序都会找出一个较大值。如上例:第一趟比较之后,排在最后的一个数一定是最大的一个数,第二趟排序的时候,只需要比较除了最后一个数以外的其他的数,同样也能找出一个最大的数排在参与第二趟比较的数后面,第三趟比较的时候,只需要比较除了最后两个数以外的其他的数,以此类推……也就是说,没进行一趟比较,每一趟少比较一次,一定程度上减少了算法的量。
用时间复杂度来说:
1.如果我们的数据正序,只需要走一趟即可完成排序。所需的比较次数C和记录移动次数M均达到最小值,即:Cmin=n-1;Mmin=0;所以,冒泡排序最好的时间复杂度为O(n)。
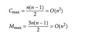
2.如果很不幸我们的数据是反序的,则需要进行n-1趟排序。每趟排序要进行n-i次比较(1≤i≤n-1),且每次比较都必须移动记录三次来达到交换记录位置。在这种情况下,比较和移动次数均达到最大值:

冒泡排序的最坏时间复杂度为:O(n2)
综上所述:冒泡排序总的平均时间复杂度为:O(n2) 。
原文:https://www.cnblogs.com/hanxue112253/p/10449583.html