1. 概率
1.1 定义:概率(Probability):对一件事情发生的可能性的衡量。
1.2 范围:0 <= P <= 1
1.3 计算方法:
1.3.1 根据个人置信
1.3.2 根据历史数据
1.3.3 根据模拟数据
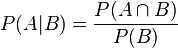
1.4 条件概率:

2. Logistic Regression(逻辑回归)
2.1 列子:模拟癌症肿瘤是良性还是恶性

h(x) > 0.5

h(x) > 0.2
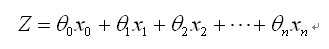
2.2 基本模型
测试数据为:
要学习的参数为:

向量表示:

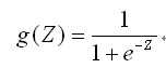
由于y取值在[0,1]之间,所有需要处理二值数据,引入Sigmoid函数来使得曲线平滑化


预测函数:

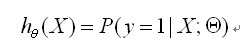
用概率表示:
正例(y = 1):

反例(y = 0):
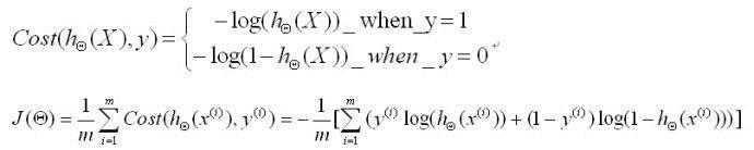
2.3 Cost函数
线性回归:

(预测值-实例值)
(类似于线性模型)
在简单线性模型中找到合适的
使得上式最小
Logistic regression:
Cost函数:

上式合并可以得到下面的式子
目标:找到合适的
使得上式最小
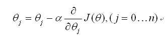
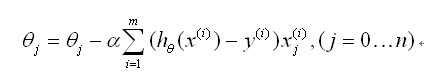
2.4 解法:梯度下降法(gradient decent)



为学习率
更新法则:

为学习率
同时对所有的
进行更新,重复更新知道收敛
# -*- coding:utf-8 -*-
import numpy as np
import random
#产生模拟数据 numPoints实例个数 bias偏好值 variance方差
def genData(numPoints, bias, variance):
x = np.zeros(shape=(numPoints, 2))
y = np.zeros(shape=(numPoints)) #1行 如:1x100
for i in range(0, numPoints):#每一行循环
x[i][0] = 0 #每行第一列等于1
x[i][1] = i #每行第二列等于i
y[i] = (i + bias) + random.uniform(0, 1) + variance
return x,y
#梯度下降
def gradientDescent(x, y, theta, alpha, m, numIterations): #alpha学习率 m实例个数 numIterations更新次数
xTran = np.transpose(x)#转置
for i in range(numIterations):
hypothesis = np.dot(x, theta)#估计值
loss = hypothesis - y#估计值-实际值
cost = np.sum(loss**2)/(2*m)#这里的定义最简单的cost函数和实际定义有出入
gradient = np.dot(xTran,loss)/m#更新量
theta = theta - alpha*gradient
print("Iteration %d | cost: %f" %(i, cost))
return theta
#测试
x, y = genData(100, 25, 10)
# print("x:")
# print(x)
# print("y:")
# print(y)
#
m, n = np.shape(x)
n_y = np.shape(y)
#
# print("x_shape:" ,str(m)," ",str(n))
# print("y_shape:" , str(n_y))
numIterations = 100000
alpha = 0.0005
theta = np.ones(n)
theta = gradientDescent(x, y, theta, alpha, m, numIterations)
print(theta)
机器学习-非线性回归(Logistic Regression)及应用
原文:https://www.cnblogs.com/lyywj170403/p/10457622.html