在很多应用中,我们希望能够保证查准率和查全率的相对平衡。
我们可以将不同阀值情况下,查全率与查准率的关系绘制成图表,曲线的形状根据数
据的不同而不同:

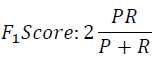
我们希望有一个帮助我们选择这个阀值的方法。一种方法是计算F1 值(F1 Score),
其计算公式为:

我们选择使得F1 值最高的阀值。
吴恩达机器学习笔记40-用调和平均数F来进行查准率和查全率之间的权衡(Trading Off Precision and Recall by F sore)
原文:https://www.cnblogs.com/sl0309/p/10481019.html