作为一个开放源代码项目,Lucene从问世之后,引发了开放源代码社群的巨大反响,程序员们不仅使用它构建具体的全文检索应用,而且将之集成到各种系统软件中去,以及构建Web应用,甚至某些商业软件也采用了Lucene作为其内部全文检索子系统的核心。apache软件基金会的网站使用了Lucene作为全文检索的引擎,IBM的开源软件eclipse的2.1版本中也采用了Lucene作为帮助子系统的全文索引引擎,相应的IBM的商业软件Web Sphere中也采用了Lucene。Lucene以其开放源代码的特性、优异的索引结构、良好的系统架构获得了越来越多的应用。
Lucene作为一个全文检索引擎,其具有如下突出的优点:
(1)索引文件格式独立于应用平台。Lucene定义了一套以8位字节为基础的索引文件格式,使得兼容系统或者不同平台的应用能够共享建立的索引文件。
(2)在传统全文检索引擎的倒排索引的基础上,实现了分块索引,能够针对新的文件建立小文件索引,提升索引速度。然后通过与原有索引的合并,达到优化的目的。
(3)优秀的面向对象的系统架构,使得对于Lucene扩展的学习难度降低,方便扩充新功能。
(4)设计了独立于语言和文件格式的文本分析接口,索引器通过接受Token流完成索引文件的创立,用户扩展新的语言和文件格式,只需要实现文本分析的接口。
(5)已经默认实现了一套强大的查询引擎,用户无需自己编写代码即使系统可获得强大的查询能力,Lucene的查询实现中默认实现了布尔操作、模糊查询(Fuzzy Search)、分组查询等等。
lucene的索引结构

1. 准备工作
1.1 下载最新源码,https://github.com/apache/lucene-solr
1.2 编译,按照说明,使用ant进行编译(我使用了ant eclipse)
1.3.将编译后的文件导入到eclipse,sts或者idea中
2.新建测试类
public void test() throws IOException, ParseException { Analyzer analyzer = new NGramAnalyzer(); // Store the index in memory: Directory directory = new RAMDirectory(); // To store an index on disk, use this instead: //Path path = FileSystems.getDefault().getPath("E:\\demo\\data", "access.data"); //Directory directory = FSDirectory.open(path); IndexWriterConfig config = new IndexWriterConfig(analyzer); IndexWriter iwriter = new IndexWriter(directory, config); Document doc = new Document(); String text = "我是中国人."; doc.add(new Field("fieldname", text, TextField.TYPE_STORED)); iwriter.addDocument(doc); iwriter.close(); // Now search the index: DirectoryReader ireader = DirectoryReader.open(directory); IndexSearcher isearcher = new IndexSearcher(ireader); isearcher.setSimilarity(new BM25Similarity()); // Parse a simple query that searches for "text": QueryParser parser = new QueryParser("fieldname", analyzer); Query query = parser.parse("中国,人"); ScoreDoc[] hits = isearcher.search(query, 1000).scoreDocs; // Iterate through the results: for (int i = 0; i < hits.length; i++) { Document hitDoc = isearcher.doc(hits[i].doc); System.out.println(hitDoc.getFields().toString()); } ireader.close(); directory.close(); } private static class NGramAnalyzer extends Analyzer { @Override protected TokenStreamComponents createComponents(String fieldName) { final Tokenizer tokenizer = new KeywordTokenizer(); return new TokenStreamComponents(tokenizer, new NGramTokenFilter(tokenizer, 1, 4, true)); } }
其中,分词使用自定义的NGramAnalyzer,它继承自Analyzer,Analyzer分析文本,并将文本转换为TokenStream。详细如下:
/** * An Analyzer builds TokenStreams, which analyze text. It thus represents a * policy for extracting index terms from text. * <p> * In order to define what analysis is done, subclasses must define their * {@link TokenStreamComponents TokenStreamComponents} in {@link #createComponents(String)}. * The components are then reused in each call to {@link #tokenStream(String, Reader)}. * <p> * Simple example: * <pre class="prettyprint"> * Analyzer analyzer = new Analyzer() { * {@literal @Override} * protected TokenStreamComponents createComponents(String fieldName) { * Tokenizer source = new FooTokenizer(reader); * TokenStream filter = new FooFilter(source); * filter = new BarFilter(filter); * return new TokenStreamComponents(source, filter); * } * {@literal @Override} * protected TokenStream normalize(TokenStream in) { * // Assuming FooFilter is about normalization and BarFilter is about * // stemming, only FooFilter should be applied * return new FooFilter(in); * } * }; * </pre> * For more examples, see the {@link org.apache.lucene.analysis Analysis package documentation}. * <p> * For some concrete implementations bundled with Lucene, look in the analysis modules: * <ul> * <li><a href="{@docRoot}/../analyzers-common/overview-summary.html">Common</a>: * Analyzers for indexing content in different languages and domains. * <li><a href="{@docRoot}/../analyzers-icu/overview-summary.html">ICU</a>: * Exposes functionality from ICU to Apache Lucene. * <li><a href="{@docRoot}/../analyzers-kuromoji/overview-summary.html">Kuromoji</a>: * Morphological analyzer for Japanese text. * <li><a href="{@docRoot}/../analyzers-morfologik/overview-summary.html">Morfologik</a>: * Dictionary-driven lemmatization for the Polish language. * <li><a href="{@docRoot}/../analyzers-phonetic/overview-summary.html">Phonetic</a>: * Analysis for indexing phonetic signatures (for sounds-alike search). * <li><a href="{@docRoot}/../analyzers-smartcn/overview-summary.html">Smart Chinese</a>: * Analyzer for Simplified Chinese, which indexes words. * <li><a href="{@docRoot}/../analyzers-stempel/overview-summary.html">Stempel</a>: * Algorithmic Stemmer for the Polish Language. * </ul> * * @since 3.1 */
ClassicSimilarity是TFIDFSimilarity的封装,因TFIDFSimilarity是抽象方法,无法直接new出实例.这个算法是lucene早期的默认打分实现。
将测试类放入solr-lucene源码中,并进行debug,如果想要分析TFIDF算法,可以直接new ClassicSimilarity 然后放入IndexSearch,其它的类似。
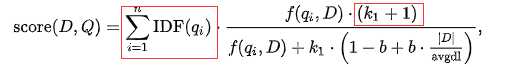
3.算法介绍
新版的lucene使用了BM25Similarity作为默认打分实现。这里显式使用了BM25Similarity,算法详细。这里简要介绍一下:

其中:
D即文档(Document),Q即查询语句(Query),score(D,Q)指使用Q的查询语句在该文档下的打分函数。
IDF即倒排文件频次(Inverse Document Frequency)指在倒排文档中出现的次数,qi是Q分词后term
其中,N是总的文档数目,n(qi)是出现分词qi的文档数目。
f(qi,D)是qi分词在文档Document出现的频次
k1和b是可调参数,默认值为1.2,0.75
|D|是文档的单词的个数,avgdl 指库里的平均文档长度。
4.算法实现
1.IDF实现
单个IDF实现
/** Implemented as <code>log(1 + (docCount - docFreq + 0.5)/(docFreq + 0.5))</code>. */ protected float idf(long docFreq, long docCount) { return (float) Math.log(1 + (docCount - docFreq + 0.5D)/(docFreq + 0.5D)); }
IDF的集合实现
@Override public final SimWeight computeWeight(float boost, CollectionStatistics collectionStats, TermStatistics... termStats) { Explanation idf = termStats.length == 1 ? idfExplain(collectionStats, termStats[0]) : idfExplain(collectionStats, termStats); float avgdl = avgFieldLength(collectionStats); float[] oldCache = new float[256]; float[] cache = new float[256]; for (int i = 0; i < cache.length; i++) { oldCache[i] = k1 * ((1 - b) + b * OLD_LENGTH_TABLE[i] / avgdl); cache[i] = k1 * ((1 - b) + b * LENGTH_TABLE[i] / avgdl); } return new BM25Stats(collectionStats.field(), boost, idf, avgdl, oldCache, cache); } /** * Computes a score factor for a phrase. * * <p> * The default implementation sums the idf factor for * each term in the phrase. * * @param collectionStats collection-level statistics * @param termStats term-level statistics for the terms in the phrase * @return an Explain object that includes both an idf * score factor for the phrase and an explanation * for each term. */ public Explanation idfExplain(CollectionStatistics collectionStats, TermStatistics termStats[]) { double idf = 0d; // sum into a double before casting into a float List<Explanation> details = new ArrayList<>(); for (final TermStatistics stat : termStats ) { Explanation idfExplain = idfExplain(collectionStats, stat); details.add(idfExplain); idf += idfExplain.getValue(); } return Explanation.match((float) idf, "idf(), sum of:", details); }
2.k1和b参数实现
public BM25Similarity(float k1, float b) { if (Float.isFinite(k1) == false || k1 < 0) { throw new IllegalArgumentException("illegal k1 value: " + k1 + ", must be a non-negative finite value"); } if (Float.isNaN(b) || b < 0 || b > 1) { throw new IllegalArgumentException("illegal b value: " + b + ", must be between 0 and 1"); } this.k1 = k1; this.b = b; } /** BM25 with these default values: * <ul> * <li>{@code k1 = 1.2}</li> * <li>{@code b = 0.75}</li> * </ul> */ public BM25Similarity() { this(1.2f, 0.75f); }
3.平均文档长度avgdl 计算
/** The default implementation computes the average as <code>sumTotalTermFreq / docCount</code> */ protected float avgFieldLength(CollectionStatistics collectionStats) { final long sumTotalTermFreq; if (collectionStats.sumTotalTermFreq() == -1) { // frequencies are omitted (tf=1), its # of postings if (collectionStats.sumDocFreq() == -1) { // theoretical case only: remove! return 1f; } sumTotalTermFreq = collectionStats.sumDocFreq(); } else { sumTotalTermFreq = collectionStats.sumTotalTermFreq(); } final long docCount = collectionStats.docCount() == -1 ? collectionStats.maxDoc() : collectionStats.docCount(); return (float) (sumTotalTermFreq / (double) docCount); }
4.参数Weigh的计算
/** Cache of decoded bytes. */ private static final float[] OLD_LENGTH_TABLE = new float[256]; private static final float[] LENGTH_TABLE = new float[256]; static { for (int i = 1; i < 256; i++) { float f = SmallFloat.byte315ToFloat((byte)i); OLD_LENGTH_TABLE[i] = 1.0f / (f*f); } OLD_LENGTH_TABLE[0] = 1.0f / OLD_LENGTH_TABLE[255]; // otherwise inf for (int i = 0; i < 256; i++) { LENGTH_TABLE[i] = SmallFloat.byte4ToInt((byte) i); } } @Override public final SimWeight computeWeight(float boost, CollectionStatistics collectionStats, TermStatistics... termStats) { Explanation idf = termStats.length == 1 ? idfExplain(collectionStats, termStats[0]) : idfExplain(collectionStats, termStats); float avgdl = avgFieldLength(collectionStats); float[] oldCache = new float[256]; float[] cache = new float[256]; for (int i = 0; i < cache.length; i++) { oldCache[i] = k1 * ((1 - b) + b * OLD_LENGTH_TABLE[i] / avgdl); cache[i] = k1 * ((1 - b) + b * LENGTH_TABLE[i] / avgdl); } return new BM25Stats(collectionStats.field(), boost, idf, avgdl, oldCache, cache); }
相当于 
5.WeightValue计算
BM25Stats(String field, float boost, Explanation idf, float avgdl, float[] oldCache, float[] cache) { this.field = field; this.boost = boost; this.idf = idf; this.avgdl = avgdl; this.weight = idf.getValue() * boost; this.oldCache = oldCache; this.cache = cache; } BM25DocScorer(BM25Stats stats, int indexCreatedVersionMajor, NumericDocValues norms) throws IOException { this.stats = stats; this.weightValue = stats.weight * (k1 + 1); this.norms = norms; if (indexCreatedVersionMajor >= 7) { lengthCache = LENGTH_TABLE; cache = stats.cache; } else { lengthCache = OLD_LENGTH_TABLE; cache = stats.oldCache; } }
相当于
红色部分相乘
6.总的得分计算
@Override public float score(int doc, float freq) throws IOException { // if there are no norms, we act as if b=0 float norm; if (norms == null) { norm = k1; } else { if (norms.advanceExact(doc)) { norm = cache[((byte) norms.longValue()) & 0xFF]; } else { norm = cache[0]; } } return weightValue * freq / (freq + norm); }
其中norm是从cache里取的,cache是放入了
那么整个公式就完整的出来了
7.深入
打分的数据来源于CollectionStatistics,TermStatistics及freq,那么它们是哪里得到的?
SynonymWeight(Query query, IndexSearcher searcher, float boost) throws IOException { super(query); CollectionStatistics collectionStats = searcher.collectionStatistics(terms[0].field());//1 long docFreq = 0; long totalTermFreq = 0; termContexts = new TermContext[terms.length]; for (int i = 0; i < termContexts.length; i++) { termContexts[i] = TermContext.build(searcher.getTopReaderContext(), terms[i]); TermStatistics termStats = searcher.termStatistics(terms[i], termContexts[i]);//2 docFreq = Math.max(termStats.docFreq(), docFreq); if (termStats.totalTermFreq() == -1) { totalTermFreq = -1; } else if (totalTermFreq != -1) { totalTermFreq += termStats.totalTermFreq(); } } TermStatistics[] statics=new TermStatistics[terms.length]; for(int i=0;i<terms.length;i++) { TermStatistics pseudoStats = new TermStatistics(terms[i].bytes(), docFreq, totalTermFreq,query.getKeyword()); statics[i]=pseudoStats; } this.similarity = searcher.getSimilarity(true); this.simWeight = similarity.computeWeight(boost, collectionStats, statics); }
CollectionStatistics的来源
/** * Returns {@link CollectionStatistics} for a field. * * This can be overridden for example, to return a field‘s statistics * across a distributed collection. * @lucene.experimental */ public CollectionStatistics collectionStatistics(String field) throws IOException { final int docCount; final long sumTotalTermFreq; final long sumDocFreq; assert field != null; Terms terms = MultiFields.getTerms(reader, field); if (terms == null) { docCount = 0; sumTotalTermFreq = 0; sumDocFreq = 0; } else { docCount = terms.getDocCount(); sumTotalTermFreq = terms.getSumTotalTermFreq(); sumDocFreq = terms.getSumDocFreq(); } return new CollectionStatistics(field, reader.maxDoc(), docCount, sumTotalTermFreq, sumDocFreq); }
TermStatistics的来源
/** * Returns {@link TermStatistics} for a term. * * This can be overridden for example, to return a term‘s statistics * across a distributed collection. * @lucene.experimental */ public TermStatistics termStatistics(Term term, TermContext context) throws IOException { return new TermStatistics(term.bytes(), context.docFreq(), context.totalTermFreq(),term.text()); }
freq的来源(tf)
@Override protected float score(DisiWrapper topList) throws IOException { return similarity.score(topList.doc, tf(topList)); } /** combines TF of all subs. */ final int tf(DisiWrapper topList) throws IOException { int tf = 0; for (DisiWrapper w = topList; w != null; w = w.next) { tf += ((TermScorer)w.scorer).freq(); } return tf; }
底层实现
Lucene50PostingsReader.BlockPostingsEnum
@Override public int nextDoc() throws IOException { if (docUpto == docFreq) { return doc = NO_MORE_DOCS; } if (docBufferUpto == BLOCK_SIZE) { refillDocs(); } accum += docDeltaBuffer[docBufferUpto]; freq = freqBuffer[docBufferUpto]; posPendingCount += freq; docBufferUpto++; docUpto++; doc = accum; position = 0; return doc; }
8.总结
BM25算法的全称是 Okapi BM25,是一种二元独立模型的扩展,也可以用来做搜索的相关度排序。本文通过和lucene的BM25Similarity的实现来深入理解整个打分公式。
在此基础之上,又分析了CollectionStatistics,TermStatistics及freq这些参数是如何计算的。
通过整个分析过程,我们想要定制自己的打分公式,只需要实现Similarity或者SimilarityBase类,然后实现业务上的打分公式即可。
参考文献
【1】https://en.wikipedia.org/wiki/Okapi_BM25
【2】https://www.elastic.co/cn/blog/found-bm-vs-lucene-default-similarity
【3】http://www.blogjava.net/hoojo/archive/2012/09/06/387140.html
原文:https://www.cnblogs.com/davidwang456/p/10439112.html