首页 > 其他 > 详细

使用Mermaid画图

时间:2019-04-05 10:49:19      阅读:200      评论:0      收藏:0      [点我收藏+]

很多时候,你想解释自己的想法/代码,但是用语言来表达会很啰嗦,并且读者也不易理解。一般这种情况下,我们都会想使用图解来解释。但是,我们也不会想下载那些繁重的工具,比如Visio。

Mermaid 是一个用来画流程图,甘特图等图形的工具。它是一个Javascript库,但是它也是一种语言,一种类似markdown的语言。

任何时候,你想要测试Mermaid语法,都可以使用这个在线编辑器

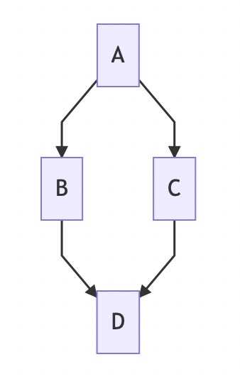
流程图的示例

graph TD
    A --> B
    A --> C
    B --> D
    C --> D

技术分享图片?

时序图的示例

sequenceDiagram
    participant 小明
    participant 小红
    小明 -> 小强: 小强,最近怎么样?
    loop 健康检查
        小强 -> 小强: 和疾病做斗争
    end
    Note right of 小强: 理性的思考: <br/> 怎么回答呢...
    小强 --> 小明: 挺好的!
    小强 -> 小红: 你怎么样?
    小红 --> 小强: 非常好!

技术分享图片?

甘特图的示例

gantt
    dateFormat  YYYY-MM-DD
    title 为mermaid加入甘特图功能
    section A部分
    完成任务        :done, des1,2019-01-06,2019-01-08
    正进行任务      :active, des2,2019-01-09,3d
    待开始任务      :des3, after des2, 5d
    待开始任务2     :des4, after des3, 5d
    section 紧急任务
    完成任务        :crit,done,2019-01-06,24h
    实现parser     :crit,done,after des1, 2d
    为parser编写test :crit, active, 3d
    待完成任务      :crit,5d
    为rendere编写test: 2d
    将功能加入到mermaid: 1d

技术分享图片?

FAQ

使用Mermaid画图

原文:https://www.cnblogs.com/thomaszdxsn/p/shi-yongMermaid-hua-tu.html

(0)
(0)
   
举报
评论 一句话评论(0
关于我们 - 联系我们 - 留言反馈 - 联系我们:wmxa8@hotmail.com
© 2014 bubuko.com 版权所有
打开技术之扣,分享程序人生!