转自:https://blog.csdn.net/youngkingyj/article/details/23365849
开源与成熟商业的瓦片地图服务(TMS 2 WMTS),都有如下共同的特性,基本成为了标准:
(1) 坐标系:WGS84
(2) 投影:墨卡托投影(Marcator,正轴等角圆柱投影)

--------------------------------------------

注:
均为弧度。
(3) 当经度范围在[-180,180],投影为正方形时,纬度范围:[-85.05113, 85.05113]
(4) 图片大小:256*256
(5) 图片格式:jpg[有损压缩率高、不透明] png[无损、透明]
OpenStreetMap 格式:png

瓦片地址格式:http://a.tile.openstreetmap.org/9/420/193.png
Cycle Map:http://c.tile.opencyclemap.org/cycle/9/420/193.png
Transport Map:http://b.tile2.opencyclemap.org/transport/9/420/193.png
MapQuest Map:http://otile3.mqcdn.com/tiles/1.0.0/osm/9/420/193.png
z: [0-18] x,y: [0-
]
在第z级别,x,y方向的瓦片个数均为:
图片(z,x,y)像素(m,n)[注:像素坐标以左上角为原点,x轴向右,y轴向下]的经纬度[单位:度]分别为:

----------------------------------------------------------------------------
已知经纬度
(单位:度),求瓦片编号x,y:

Google Map 卫星地图/地形图:jpg 地图:png

瓦片地址格式:http://mt2.google.cn/vt/lyrs=m@167000000&hl=zh-CN&gl=cn&x=420&y=193&z=9
z: [0-18] x,y: [0-
]
地图图层说明:
h skeleton map light http://mt2.google.cn/vt/lyrs=h&hl=zh-CN&gl=cn&x=420&y=193&z=9
m 全地图 http://mt2.google.cn/vt/lyrs=m&hl=zh-CN&gl=cn&x=420&y=193&z=9
p terrain+map http://mt2.google.cn/vt/lyrs=p&hl=zh-CN&gl=cn&x=420&y=193&z=9
r skeleton map dark http://mt2.google.cn/vt/lyrs=r&hl=zh-CN&gl=cn&x=420&y=193&z=9
y hybrid satellite map http://mt1.google.cn/vt/lyrs=y&hl=zh-CN&gl=cn&x=420&y=193&z=9
t 地形图 http://mt0.google.cn/vt/lyrs=t&hl=zh-CN&gl=cn&x=420&y=193&z=9
s 卫星地图 http://mt3.google.cn/vt/lyrs=s&hl=zh-CN&gl=cn&x=420&y=193&z=9
也可以进行组合,例如:s,r 或者 t,h http://mt3.google.cn/vt/lyrs=t,h&hl=zh-CN&gl=cn&x=420&y=193&z=9
图片(x,y,z)像素(m,n)[注:像素坐标以左上角为原点,x轴向右,y轴向下]的经纬度[单位:度]与openmapstreet方法一致。
Bing Map 格式:png

瓦片地址格式:http://r1.tiles.ditu.live.com/tiles/r132122232001311321.png?g=100&mkt=zh-cn
级数:[1-18]
计算图片
[
为图片的code码,
={0,1,2,3}]的像素(m,n)[注:像素坐标以左上角为原点,x轴向右,y轴向下]的经纬度
只需先计算出
与x,y,z的关系,然后再套用openstreetmap的公式,就可以得到。
z =
的位数


Baidu Map 格式:jpg、png

瓦片地址格式:http://shangetu1.map.bdimg.com/it/u=x=99092;y=19997;z=19;v=017;type=web&fm=44&udt=20130712
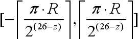
百度地图赤道上的分辨率为:
z: [3-19] x,y:
注:其中R为地球半径(R=6378137)
在第z级别,x,y方向的瓦片个数均为:
地图图层说明:
type=web 地图 http://shangetu0.map.bdimg.com/it/u=x=101237;y=37702;z=19;v=017;type=web&fm=44&udt=20130712
type=sate 卫星图 http://shangetu1.map.bdimg.com/it/u=x=101237;y=37702;z=19;v=009;type=sate&fm=46&udt=20130506
路网:http://online0.map.bdimg.com/tile/?qt=tile&x=101237&y=37702&z=19&styles=sl&v=017&udt=20130712
三维:http://d3.map.baidu.com/resource/mappic/bj/2/3/lv2/1251,1143.jpg?v=001 【z: [lv6-lv1]】

图片(x,y,z)像素(m,n)[注:像素坐标以左上角为原点,x轴向右,y轴向下]的经纬度[单位:度]分别为:


-----------------------------------------------------------------------------
已知经纬度
(单位:度),求瓦片编号x,y:

瓦片下载工具
1.太乐地图:ArcTilerDesktopV3.5.rar,http://www.arctiler.com/
2.全能电子地图下载器:MapTileDownloader1.8.3.exe,http://code.google.com/p/maptiledownloader/
3.TileDownloader: http://www.softpedia.com/progDownload/Tile-Downloader-Download-198232.html
http://sourceforge.net/projects/tiledownloader/files/1.3/release1.3-bin.zip/download
坐标转换工具
http://rovertang.com/labs/tileindex/
http://rovertang.com/archives/545
http://rovertang.com/labs/GMAPIv3_Offline/
公式&代码实现:http://wiki.openstreetmap.org/wiki/Slippy_map_tilenames
[转]OpenStreetMap/Google/百度/Bing瓦片地图服务(TMS)
原文:https://www.cnblogs.com/lyggqm/p/10791485.html